ГОСТ Р 54988-2012 Взрывоопасные среды. Технические требования и методы испытаний на стойкость к внешним воздействующим факторам, влияющим на особенности эксплуатации оборудования во взрывоопасных средах
ГОСТ Р
Скачать ГОСТ в PDF или DOC бесплатно
Основная информация
Обозначение:
ГОСТ Р 54988-2012
Статус:
Действует
Тип:
ГОСТ Р
Название русское:
Взрывоопасные среды. Технические требования и методы испытаний на стойкость к внешним воздействующим факторам, влияющим на особенности эксплуатации оборудования во взрывоопасных средах
Название английское:
Explosive atmospheres. Technical requirements and test methods for endurance to environmental factors influencing the peculiarities of operation of equipment in explosive atmospheres
Даты и сроки
Дата издания:
04-01-15
Дата введения в действие:
01-01-14
Дата завершения срока действия:
-
Применение и описание
Область и условия применения:
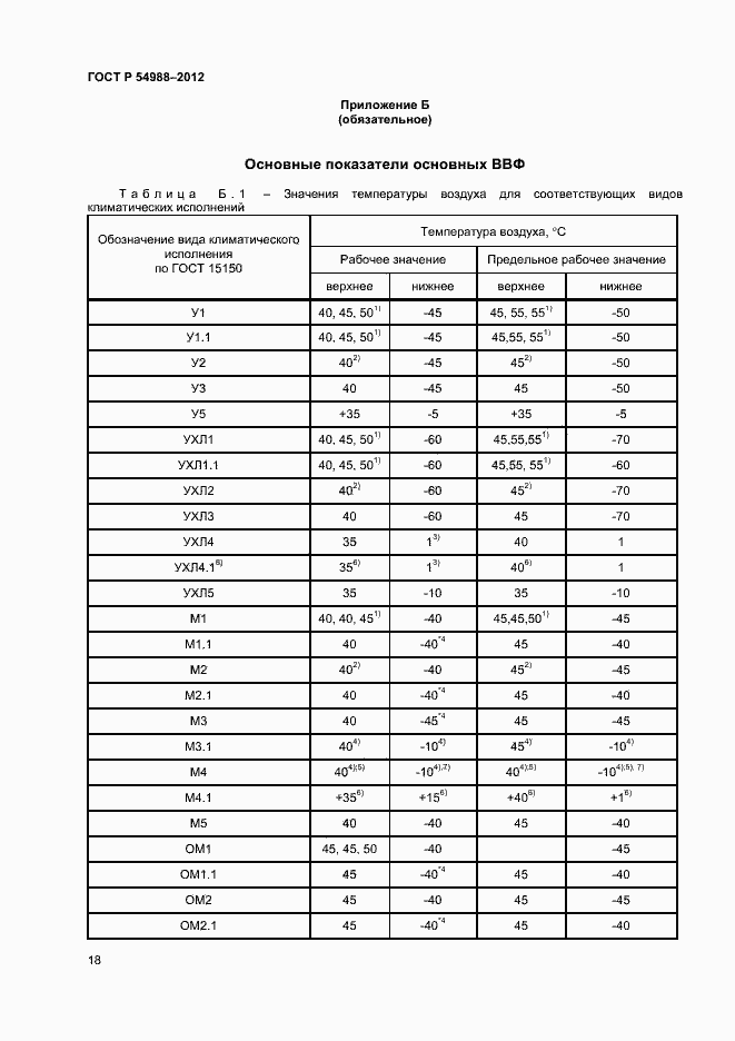
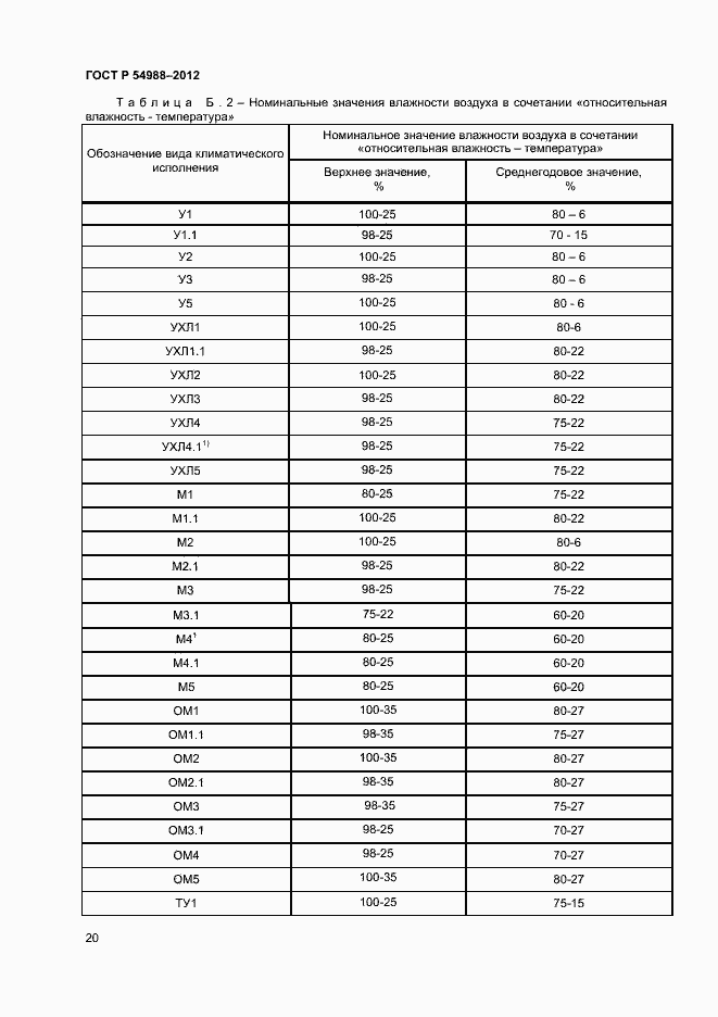
Настоящий стандарт распространяется на машины, приборы и другие технические изделия (далее - оборудование), размещаемые на суше, а так же на стационарных и перемещаемых платформах, расположенных на море, предназначенные для эксплуатации во взрывоопасных средах. Настоящий стандарт устанавливает требования и методы испытаний, относящиеся к воздействию таких климатических и механических внешних воздействующих факторов (далее - ВВФ) и агрессивных сред, которые могут оказать влияние на оборудование, в части его эксплуатации во взрывоопасных средах, при этом указанные требования предъявляют к оборудованию, удовлетворяющего требованиям по стойкости к воздействию ВВФ на характеристики, связанные с основным функциональным назначением оборудования. Настоящий стандарт применяется совместно с ГОСТ Р МЭК 60079-0, ГОСТ 31441.1-2011, ГОСТ 15150, ГОСТ 10518
Связи и замены
Заменяющий:
-
Изменения и переиздания
Список изменений:
№0 от (рег. ) «Дата введения перенесена»
Описание стандарта
ГОСТ Р 54988-2012 Взрывоопасные среды. Технические требования и методы испытаний на стойкость к внешним воздействующим факторам, влияющим на особенности эксплуатации оборудования во взрывоопасных средах
Страницы стандарта

































Приложение №1: Поправка к ГОСТ Р 54988-2012 Обозначение: Поправка к ГОСТ Р 54988-2012 Дата введения в действие: 30.09.2015
