ГОСТ Р 51330.0-99 Электрооборудование взрывозащищенное. Часть 0. Общие требования
ГОСТ Р
Скачать ГОСТ в PDF или DOC бесплатно
Основная информация
Обозначение:
ГОСТ Р 51330.0-99
Статус:
Отменен
Тип:
ГОСТ Р
Название русское:
Электрооборудование взрывозащищенное. Часть 0. Общие требования
Название английское:
Explosionproof electrical apparatus. Part 0. General requirements
Даты и сроки
Дата издания:
04-27-00
Дата введения в действие:
01-01-01
Дата завершения срока действия:
02-15-14
Применение и описание
Область и условия применения:
Настоящий стандарт распространяется на взрывозащищенные изделия, охватываемые деятельностью Международной Электротехнической Комиссии: взрывозащищенные изделия электротехнические и приборостроения, изделия для обеспечения информационных технологий и другие
Связи и замены
Заменяющий:
-
Изменения и переиздания
Список изменений:
№0 от (рег. ) «Текстовое изменение; Изменено заглавие» №1 от (рег. ) «Текстовое изменение; Изменены ссылочные НД»
Описание стандарта
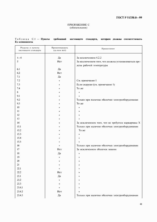
ГОСТ Р 51330.0-99 Электрооборудование взрывозащищенное. Часть 0. Общие требования
Страницы стандарта

























































Приложение №2: Изменение №1 к ГОСТ Р 51330.0-99 Обозначение: Изменение №1 к ГОСТ Р 51330.0-99 Дата введения в действие: 01.01.2007

Приложение №2: Изменение №1 к ГОСТ Р 51330.0-99 Обозначение: Изменение №1 к ГОСТ Р 51330.0-99 Дата введения в действие: 01.01.2007

Приложение №2: Изменение №1 к ГОСТ Р 51330.0-99 Обозначение: Изменение №1 к ГОСТ Р 51330.0-99 Дата введения в действие: 01.01.2007

Приложение №2: Изменение №1 к ГОСТ Р 51330.0-99 Обозначение: Изменение №1 к ГОСТ Р 51330.0-99 Дата введения в действие: 01.01.2007

Приложение №2: Изменение №1 к ГОСТ Р 51330.0-99 Обозначение: Изменение №1 к ГОСТ Р 51330.0-99 Дата введения в действие: 01.01.2007

Приложение №2: Изменение №1 к ГОСТ Р 51330.0-99 Обозначение: Изменение №1 к ГОСТ Р 51330.0-99 Дата введения в действие: 01.01.2007
