ГОСТ Р 51330.11-99 Электрооборудование взрывозащищенное. Часть 12. Классификация смесей газов и паров с воздухом по безопасным экспериментальным максимальным зазорам и минимальным воспламеняющим токам
ГОСТ Р
Скачать ГОСТ в PDF или DOC бесплатно
Основная информация
Обозначение:
ГОСТ Р 51330.11-99
Статус:
Отменен
Тип:
ГОСТ Р
Название русское:
Электрооборудование взрывозащищенное. Часть 12. Классификация смесей газов и паров с воздухом по безопасным экспериментальным максимальным зазорам и минимальным воспламеняющим токам
Название английское:
Explosionprotected electrical apparatus. Part 12. Classification of mixtures of gases or vapours with air according to their maximum experimental safe gaps and minimum igniting currents
Даты и сроки
Дата издания:
02-01-03
Дата введения в действие:
01-01-01
Дата завершения срока действия:
02-15-14
Применение и описание
Область и условия применения:
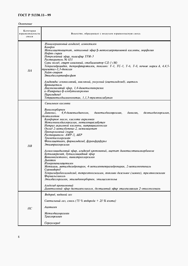
Настоящий стандарт устанавливает классификацию наиболее часто применяемых взрывоопасных смесей газов и паров с воздухом по безопасным экспериментальным максимальным зазорам и минимальным воспламеняющим токам
Связи и замены
Заменяющий:
-
Изменения и переиздания
Список изменений:
№0 от (рег. ) «Текстовое изменение; Изменено заглавие»
Описание стандарта
ГОСТ Р 51330.11-99 Электрооборудование взрывозащищенное. Часть 12. Классификация смесей газов и паров с воздухом по безопасным экспериментальным максимальным зазорам и минимальным воспламеняющим токам
Страницы стандарта












