ГОСТ Р 52350.11-2005 Электрооборудование для взрывоопасных газовых сред. Часть 11. Искробезопасная электрическая цепь «i»
ГОСТ Р
Скачать ГОСТ в PDF или DOC бесплатно
Основная информация
Обозначение:
ГОСТ Р 52350.11-2005
Статус:
Заменен
Тип:
ГОСТ Р
Название русское:
Электрооборудование для взрывоопасных газовых сред. Часть 11. Искробезопасная электрическая цепь «i»
Название английское:
Electric equipment for explosive atmospheres. Part 11. Equipment protection by intrinsic safety «i»
Даты и сроки
Дата издания:
01-10-07
Дата введения в действие:
01-01-07
Дата завершения срока действия:
01-01-12
Применение и описание
Область и условия применения:
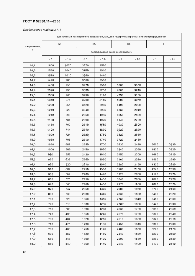
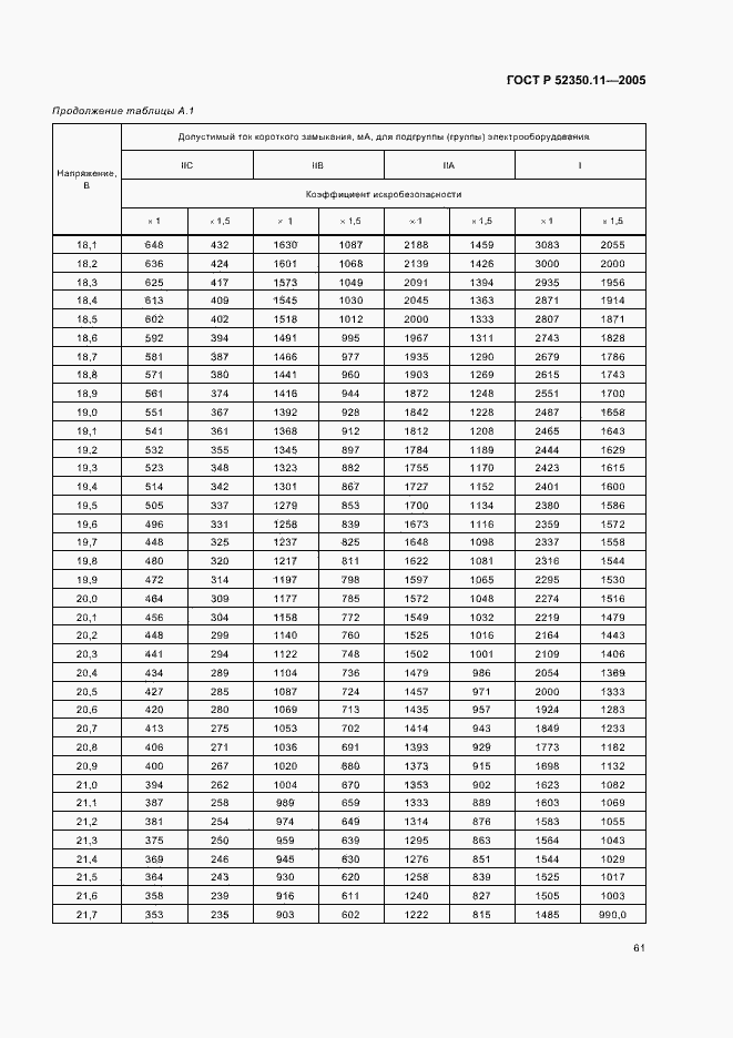
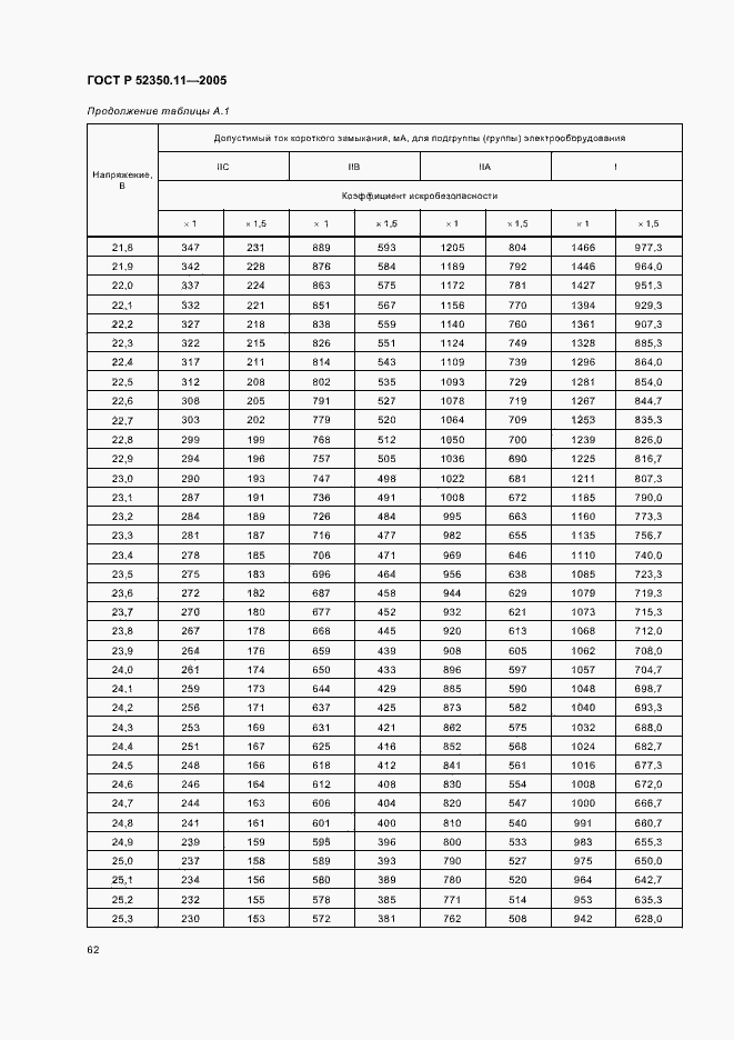
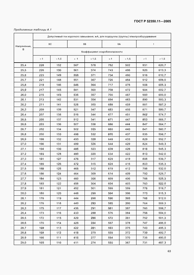
Настоящий стандарт устанавливает требования к конструкции и методам испытаний искробезопасного электрооборудования, предназначенного для применения во взрывоопасных газовых средах, а также связанного электрооборудования, предназначенного для подключения к искробезопасным цепям, которые находятся в таких средах. Данный вид взрывозащиты применим к электрооборудованию, в котором электрические цепи не способны вызвать взрыв окружающей взрывоопасной среды. Настоящий стандарт также распространяется на электрооборудование или части электрооборудования, находящиеся вне взрывоопасной среды или имеющие другой вид взрывозащиты из перечисленных в МЭК 60079-0, в тех случаях, когда искробезопасность электрических цепей во взрывоопасной газовой среде может зависеть от конструкции и исполнения такого электрооборудования или его частей. С помощью данного стандарта оценивают возможность применения электрических цепей, подвергающихся воздействию взрывоопасной газовой среды, в такой среде
Связи и замены
Заменяющий:
ГОСТ Р МЭК 60079-11-2010
Описание стандарта
ГОСТ Р 52350.11-2005 Электрооборудование для взрывоопасных газовых сред. Часть 11. Искробезопасная электрическая цепь «i»
Страницы стандарта





































































































