ГОСТ 31610.11-2012 Электрооборудование для взрывоопасных газовых сред. Часть 11. Искробезопасная электрическая цепь «i»
ГОСТ
Скачать ГОСТ в PDF или DOC бесплатно
Основная информация
Обозначение:
ГОСТ 31610.11-2012
Статус:
Действует
Тип:
ГОСТ
Название русское:
Электрооборудование для взрывоопасных газовых сред. Часть 11. Искробезопасная электрическая цепь «i»
Название английское:
Electric equipment for explosive atmospheres. Part 11. Equipment protection by intrinsic safety «i»
Даты и сроки
Дата регистрации:
12-03-12
Дата издания:
03-07-14
Дата введения в действие:
02-15-14
Дата завершения срока действия:
-
Применение и описание
Область и условия применения:
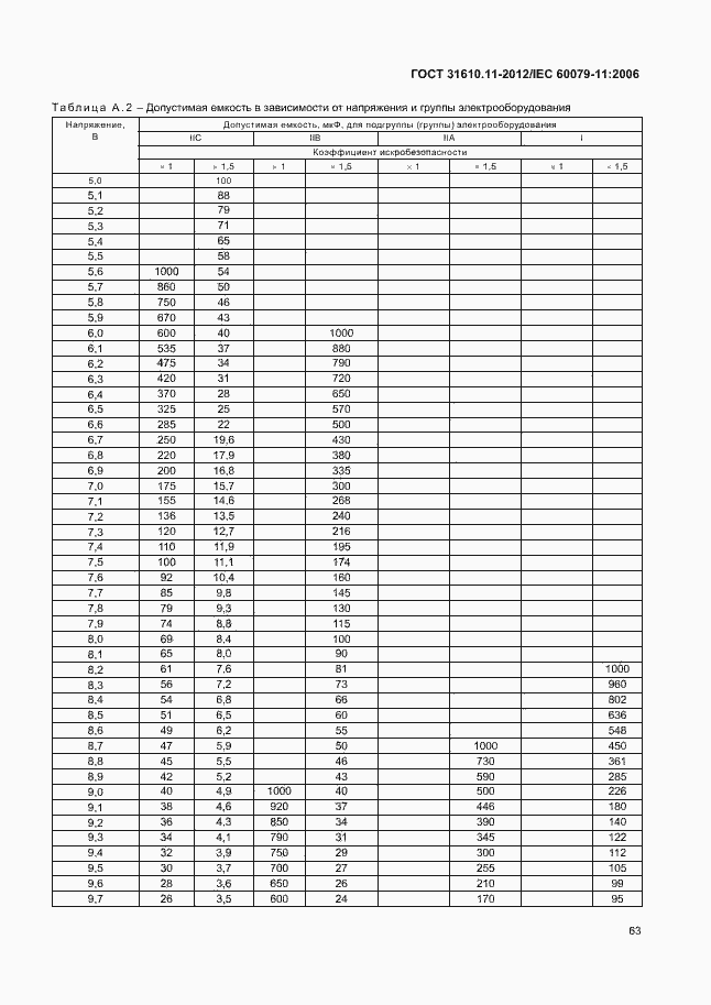
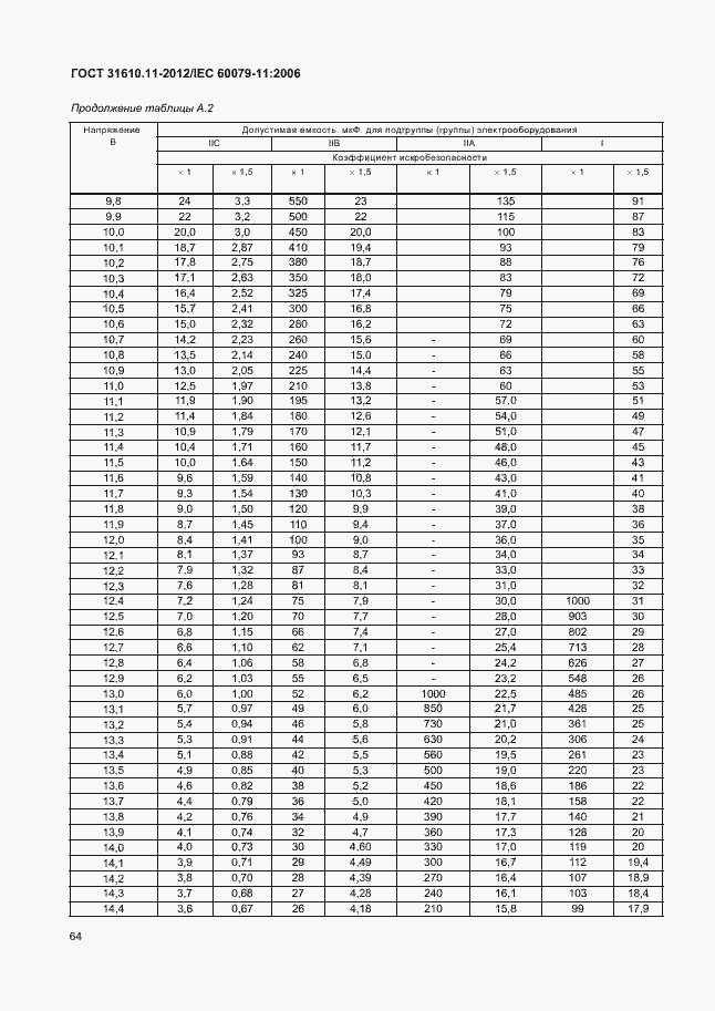
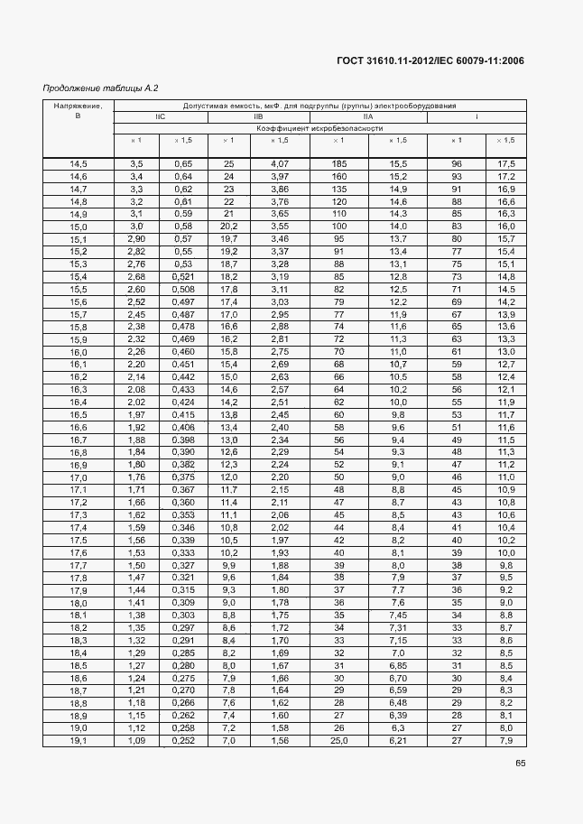
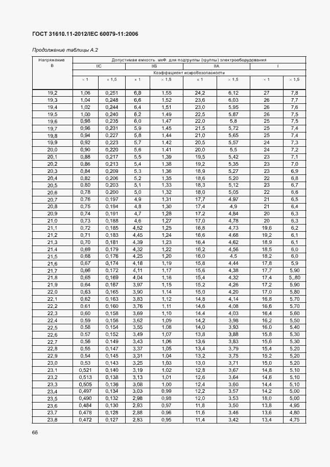
Настоящий стандарт устанавливает требования к конструкции и методам испытаний искробезопасного электрооборудования, предназначенного для применения во взрывоопасных газовых средах, а также связанного электрооборудования, предназначенного для подключения к искробезопасным цепям, которые находятся в таких средах
Связи и замены
Заменяющий:
-
Описание стандарта
ГОСТ 31610.11-2012 Электрооборудование для взрывоопасных газовых сред. Часть 11. Искробезопасная электрическая цепь «i»
Страницы стандарта
































































































