ГОСТ Р МЭК 61360-2-2013 Стандартные типы элементов данных с ассоциированой схемой классификации электрических компонентов. Часть 2. Словарная схема EXPRESS
ГОСТ Р МЭК
Скачать ГОСТ в PDF или DOC бесплатно
Основная информация
Обозначение:
ГОСТ Р МЭК 61360-2-2013
Статус:
Действует
Тип:
ГОСТ Р МЭК
Название русское:
Стандартные типы элементов данных с ассоциированой схемой классификации электрических компонентов. Часть 2. Словарная схема EXPRESS
Название английское:
Standard data element types with associated classification scheme for electric components. Part 2. EXPRESS dictionary schema
Даты и сроки
Дата издания:
02-25-16
Дата введения в действие:
09-01-14
Дата завершения срока действия:
-
Применение и описание
Область и условия применения:
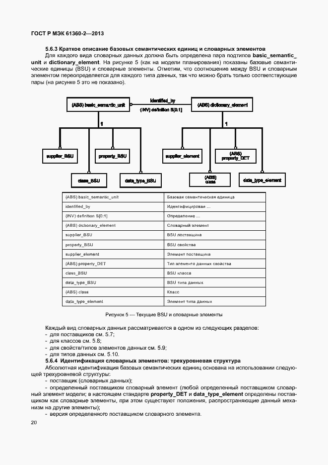
В настоящем стандарте установлена формальная модель данных в соответствии с заданной областью применения МЭК 61360-1 и ИСО 13584-42. Настоящий стандарт обеспечивает возможность компьютерного представления данных и обмен ими. В настоящем стандарте установлена общая информационная модель, разработанная комитетами МЭК/ПК3D и ИСО/ТК184/ПК4. Модель обеспечивает практическую реализацию словарных систем, работающих с данными, предоставленными в соответствии с каждым из указанных стандартов. Настоящий стандарт распространяется на общую cловарную схему ИСО/МЭК. Она располагается на пересечении областей применения двух базовых стандартов МЭК 61360-1 и ИСО 13584-42
Связи и замены
Заменяющий:
-
Описание стандарта
ГОСТ Р МЭК 61360-2-2013 Стандартные типы элементов данных с ассоциированой схемой классификации электрических компонентов. Часть 2. Словарная схема EXPRESS
Страницы стандарта




























































































































































