ГОСТ Р 57133-2016 Менеджмент организационной культуры и знания. Руководство по наилучшей практике
ГОСТ Р
Скачать ГОСТ в PDF или DOC бесплатно
Основная информация
Обозначение:
ГОСТ Р 57133-2016
Статус:
Действует
Тип:
ГОСТ Р
Название русское:
Менеджмент организационной культуры и знания. Руководство по наилучшей практике
Название английское:
Organizational culture and knowledge menegment. A guide to good practice
Даты и сроки
Дата издания:
04-03-20
Дата введения в действие:
06-01-17
Дата завершения срока действия:
-
Применение и описание
Область и условия применения:
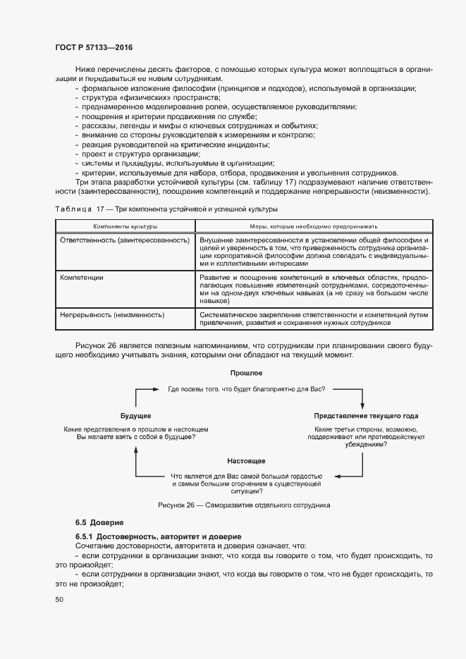
Настоящий стандарт содержит руководящие указания по организации процессов обмена знаниями и внедрению системы менеджмента знаний в организационную культуру. В частности, в нем приведены рекомендации о способах идентификации в организациях различных типов культур, их взаимоотношениях с личностью (индивидуумами), а также о развитии и использовании индивидуальных знаний и знаний организации и обучения в ней. В настоящем стандарте также приведены рекомендации по управлению изменениями в рамках организации, направленными на формирование плодотворной культуры МЗ
Связи и замены
Заменяющий:
-
Описание стандарта
ГОСТ Р 57133-2016 Менеджмент организационной культуры и знания. Руководство по наилучшей практике
Страницы стандарта
















































































