ГОСТ 29034-91 Постоянные резисторы для электронной аппаратуры. Часть 5. Групповые технические условия на постоянные прецизионные резисторы
ГОСТ
Скачать ГОСТ в PDF или DOC бесплатно
Основная информация
Обозначение:
ГОСТ 29034-91
Статус:
Действует
Тип:
ГОСТ
Название русское:
Постоянные резисторы для электронной аппаратуры. Часть 5. Групповые технические условия на постоянные прецизионные резисторы
Название английское:
Fixed resistors for use in electronic equipment. Part 5. Sectional specification : fixed precision resistors
Даты и сроки
Дата издания:
08-01-04
Дата введения в действие:
06-30-92
Дата завершения срока действия:
-
Применение и описание
Область и условия применения:
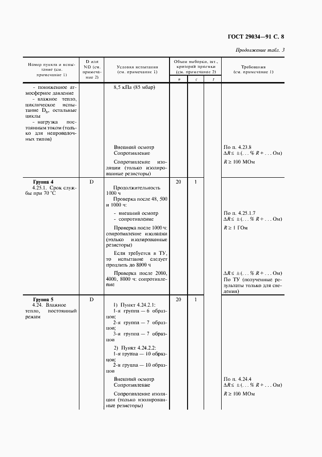
Настоящий стандарт распространяется на постоянные прецизионные резисторы, предназначенные для использования в электронной аппаратуре и применяется для разработки ТУ на резисторы, в том числе подлежащие сертификации. Стандарт устанавливает предпочтительные номинальные значения и характеристики и определяет порядок выбора из ГОСТ 28608 соответствующих методик сертификации изделий, методов испытаний и измерений, а также устанавливает общие требования к резисторам данного типа. Стандарт подготовлен методом прямого применения международного стандарта МЭК 115-5-1
Связи и замены
Заменяющий:
-
Описание стандарта
ГОСТ 29034-91 Постоянные резисторы для электронной аппаратуры. Часть 5. Групповые технические условия на постоянные прецизионные резисторы
Страницы стандарта











