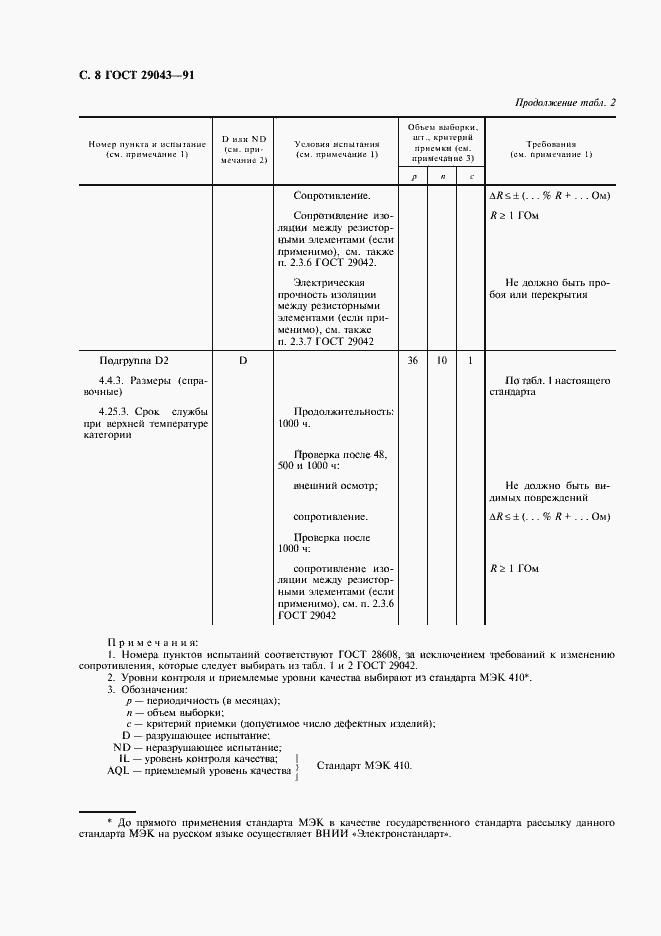
ГОСТ 29043-91 Постоянные резисторы для электронной аппаратуры. Часть 6. Форма технических условий на наборы постоянных резисторов с отдельно измеряемыми резисторами, имеющими разные номинальные сопротивления или номинальные мощности рассеяния. Уровень качества Е
ГОСТ
Скачать ГОСТ в PDF или DOC бесплатно
Основная информация
Обозначение:
ГОСТ 29043-91
Статус:
Действует
Тип:
ГОСТ
Название русское:
Постоянные резисторы для электронной аппаратуры. Часть 6. Форма технических условий на наборы постоянных резисторов с отдельно измеряемыми резисторами, имеющими разные номинальные сопротивления или номинальные мощности рассеяния. Уровень качества Е
Название английское:
Fixed resistors for use in electronic equipment. Part 6. Blank detail specification: fixed resistor networks with individually measurable resistors, of either different resistance values or different rated dissipations. Assessment level E
Даты и сроки
Дата издания:
10-01-04
Дата введения в действие:
06-30-92
Дата завершения срока действия:
-
Применение и описание
Область и условия применения:
Настоящий стандарт применяется для разработки ТУ на резисторы, в том числе подлежащие сертификации. Стандарт подготовлен методом прямого применения международного стандарта МЭК 115-6-2 "Постоянные резисторы для электронной аппаратуры
Связи и замены
Заменяющий:
-
Описание стандарта
ГОСТ 29043-91 Постоянные резисторы для электронной аппаратуры. Часть 6. Форма технических условий на наборы постоянных резисторов с отдельно измеряемыми резисторами, имеющими разные номинальные сопротивления или номинальные мощности рассеяния. Уровень качества Е
Страницы стандарта










