ГОСТ Р 58083-2018 Информация и документация. Радиочастотная идентификация в библиотеках. Часть 4. Кодирование элементов данных на основе правил ИСО/МЭК 15962 в радиочастотной метке с раздельными банками памяти
ГОСТ Р
Скачать ГОСТ в PDF или DOC бесплатно
Основная информация
Обозначение:
ГОСТ Р 58083-2018
Статус:
Действует
Тип:
ГОСТ Р
Название русское:
Информация и документация. Радиочастотная идентификация в библиотеках. Часть 4. Кодирование элементов данных на основе правил ИСО/МЭК 15962 в радиочастотной метке с раздельными банками памяти
Название английское:
Information and documentation. RFID in libraries. Part 4. Encoding of data elements based on rules from ISO/IEC 15962 in an RFID tag with partitioned memory
Даты и сроки
Дата издания:
03-19-18
Дата введения в действие:
03-01-19
Дата завершения срока действия:
-
Применение и описание
Область и условия применения:
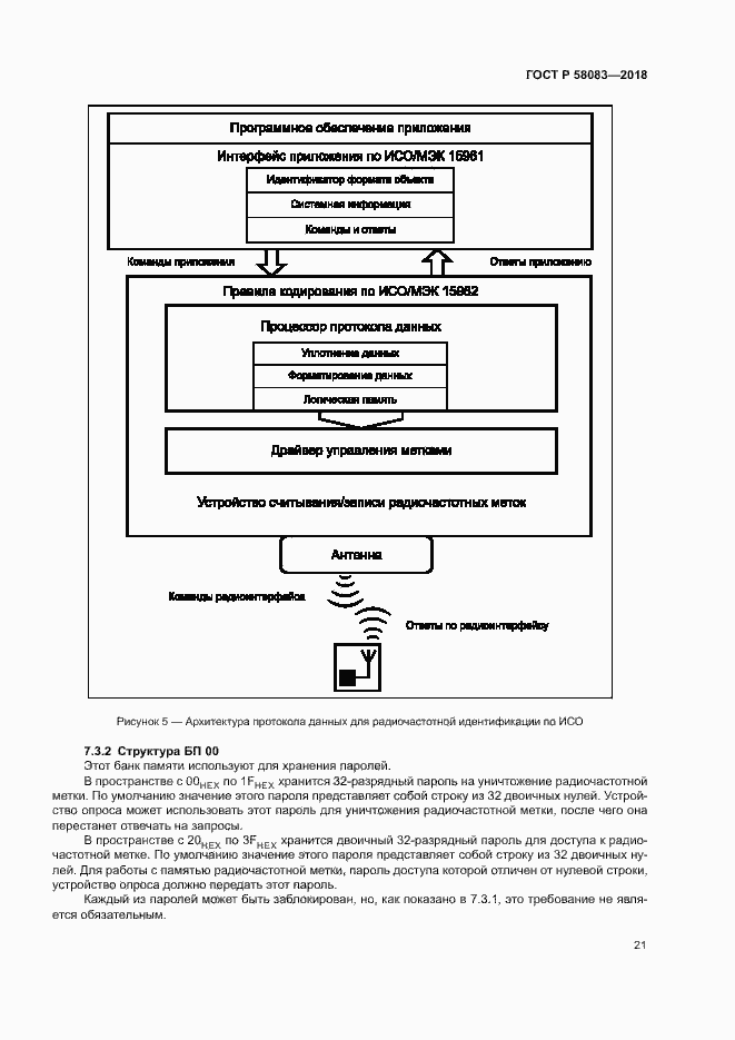
Настоящий стандарт устанавливает правила для элементов данных согласно ИСО 28560-1, записанных в память радиочастотных меток со структурой памяти, разделенной на 4 банка памяти. В первую очередь эта часть относится к радиочастотным меткам по ИСО/МЭК 18000-63 (ранее известному, как ИСО/МЭК 18000-6 тип C), работающих в диапазоне ультравысоких частот (УВЧ, UHF), но не обязательно ограничивается указанной технологией
Связи и замены
Заменяющий:
-
Описание стандарта
ГОСТ Р 58083-2018 Информация и документация. Радиочастотная идентификация в библиотеках. Часть 4. Кодирование элементов данных на основе правил ИСО/МЭК 15962 в радиочастотной метке с раздельными банками памяти
Страницы стандарта






















































