ГОСТ 19656.10-88 Диоды полупроводниковые сверхвысокочастотные переключательные и ограничительные. Методы измерения сопротивлений потерь
ГОСТ
Скачать ГОСТ в PDF или DOC бесплатно
Основная информация
Обозначение:
ГОСТ 19656.10-88
Статус:
Действует
Тип:
ГОСТ
Название русское:
Диоды полупроводниковые сверхвысокочастотные переключательные и ограничительные. Методы измерения сопротивлений потерь
Название английское:
Semiconductor microwave switching and limiter diodes. Methods of measuring loss resistances
Даты и сроки
Дата издания:
12-09-88
Дата введения в действие:
06-30-89
Дата завершения срока действия:
-
Применение и описание
Область и условия применения:
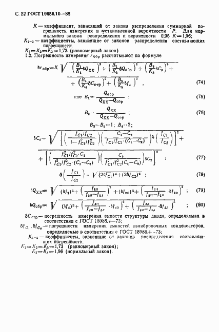
Настоящий стандарт распространяется на полупроводниковые переключательные и ограничительные сверхвысокочастотные диоды и устанавливает следующие методы измерения сопротивлений потерь в диапазоне частот 0,3-10 ГГц: 1) сопротивления потерь при низком уровне СВЧ мощности ограничительных СВЧ диодов; 2) прямого сопротивления потерь переключательных и ограничительных СВЧ диодов и обратного сопротивления потерь переключательных СВЧ диодов: а) метод измерительной линии с подвижным зондом; б) метод измерительной линии с фиксированным зондом; в) резонаторный метод
Связи и замены
Заменяющий:
-
Взамен:
ГОСТ 19656.10-75;ГОСТ 19656.11-75
Описание стандарта
ГОСТ 19656.10-88 Диоды полупроводниковые сверхвысокочастотные переключательные и ограничительные. Методы измерения сопротивлений потерь
Страницы стандарта
























