ГОСТ Р МЭК 62679-3-1-2017 Дисплеи на основе электронной бумаги. Часть 3-1. Оптические методы измерений
ГОСТ Р МЭК
Скачать ГОСТ в PDF или DOC бесплатно
Основная информация
Обозначение:
ГОСТ Р МЭК 62679-3-1-2017
Статус:
Действует
Тип:
ГОСТ Р МЭК
Название русское:
Дисплеи на основе электронной бумаги. Часть 3-1. Оптические методы измерений
Название английское:
Electronic paper displays. Part 3-1. Optical measurement methods
Даты и сроки
Дата издания:
12-05-17
Дата введения в действие:
09-01-18
Дата завершения срока действия:
-
Применение и описание
Область и условия применения:
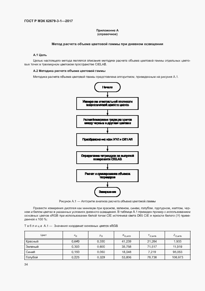
Настоящий стандарт устанавливает стандартные условия измерений и методы измерений для определения оптических характеристик дисплея на основе электронной бумаги (EPDs). Настоящий стандарт распространяется на EPDs с использованием сегментной, пассивной, либо активной матрицы с дисплеями монохромного или цветного типа. Методы измерения предназначены для EPDs, работающих в режиме отражения. EPDs могут включать встроенное осветительное устройство (ILU), но при применении установленных настоящим стандартом методов измерения ILU должно находиться в выключенном состоянии. Настоящий стандарт не распространяется на цветные системы, имеющие более трех основных цветов
Связи и замены
Заменяющий:
-
Описание стандарта
ГОСТ Р МЭК 62679-3-1-2017 Дисплеи на основе электронной бумаги. Часть 3-1. Оптические методы измерений
Страницы стандарта














































