ГОСТ IEC 61188-5-8-2013 Печатные платы и печатные узлы.Проектирование и применение. Часть 5-8. Общие требования. Анализ соединений (посадочные места для монтажа компонентов). Компоненты с матрицей контактов (BGA, FBGA, CGA, LGA)
ГОСТ МЭК
Скачать ГОСТ в PDF или DOC бесплатно
Основная информация
Обозначение:
ГОСТ IEC 61188-5-8-2013
Статус:
Действует
Тип:
ГОСТ МЭК
Название русское:
Печатные платы и печатные узлы.Проектирование и применение. Часть 5-8. Общие требования. Анализ соединений (посадочные места для монтажа компонентов). Компоненты с матрицей контактов (BGA, FBGA, CGA, LGA)
Название английское:
Printed boards and printed board assemblies. Design and use. Part 5-8. Attachment (land/joint) considerations. Area array components (BGA, FBGA, CGA, LGA)
Даты и сроки
Дата регистрации:
11-14-13
Дата издания:
11-05-14
Дата введения в действие:
03-01-15
Дата завершения срока действия:
-
Применение и описание
Область и условия применения:
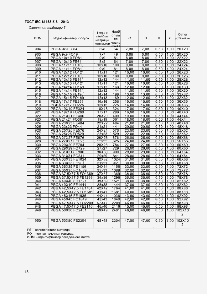
Настоящий стандарт содержит информацию о геометрии посадочных мест для поверхностного монтажа электронных компонентов с матричным расположением контактов в форме шариков, столбиков припоя или контактных площадок с защитным покрытием
Связи и замены
Заменяющий:
-
Описание стандарта
ГОСТ IEC 61188-5-8-2013 Печатные платы и печатные узлы.Проектирование и применение. Часть 5-8. Общие требования. Анализ соединений (посадочные места для монтажа компонентов). Компоненты с матрицей контактов (BGA, FBGA, CGA, LGA)
Страницы стандарта



























