ГОСТ 29107-91 Приборы полупроводниковые. Микросхемы интегральные. Часть 2. Цифровые интегральные схемы
ГОСТ
Скачать ГОСТ в PDF или DOC бесплатно
Основная информация
Обозначение:
ГОСТ 29107-91
Статус:
Действует
Тип:
ГОСТ
Название русское:
Приборы полупроводниковые. Микросхемы интегральные. Часть 2. Цифровые интегральные схемы
Название английское:
Semiconductor devices. Integrated circuits. Part 2. Digital integrated circuits
Даты и сроки
Дата издания:
09-01-04
Дата введения в действие:
06-30-92
Дата завершения срока действия:
-
Применение и описание
Область и условия применения:
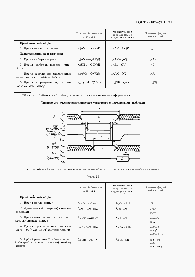
Настоящий стандарт применяется для разработки технических условий на интегральные микросхемы, в том числе подлежащие сертификации. Стандарт устанавливает требования для следующих классов и подклассов приборов: комбинаторные и последовательностные цифровые схемы; интегральные схемы запоминающих устройств; интегральные схемы микропроцессоров; приборы с переносом заряда. Стандарт подготовлен методом прямого применения международного стандарта МЭК 748-2-85 "Полупроводниковые приборы. Интегральные схемы. Часть 2. Цифровые интегральные схемы" и полностью ему соответствует
Связи и замены
Заменяющий:
-
Описание стандарта
ГОСТ 29107-91 Приборы полупроводниковые. Микросхемы интегральные. Часть 2. Цифровые интегральные схемы
Страницы стандарта








































































































