ГОСТ Р 54844-2011 Микросхемы интегральные. Основные размеры
ГОСТ Р
Скачать ГОСТ в PDF или DOC бесплатно
Основная информация
Обозначение:
ГОСТ Р 54844-2011
Статус:
Действует
Тип:
ГОСТ Р
Название русское:
Микросхемы интегральные. Основные размеры
Название английское:
Integrated microcircuits. Basic dimensions
Даты и сроки
Дата издания:
06-05-14
Дата введения в действие:
09-01-13
Дата завершения срока действия:
-
Применение и описание
Область и условия применения:
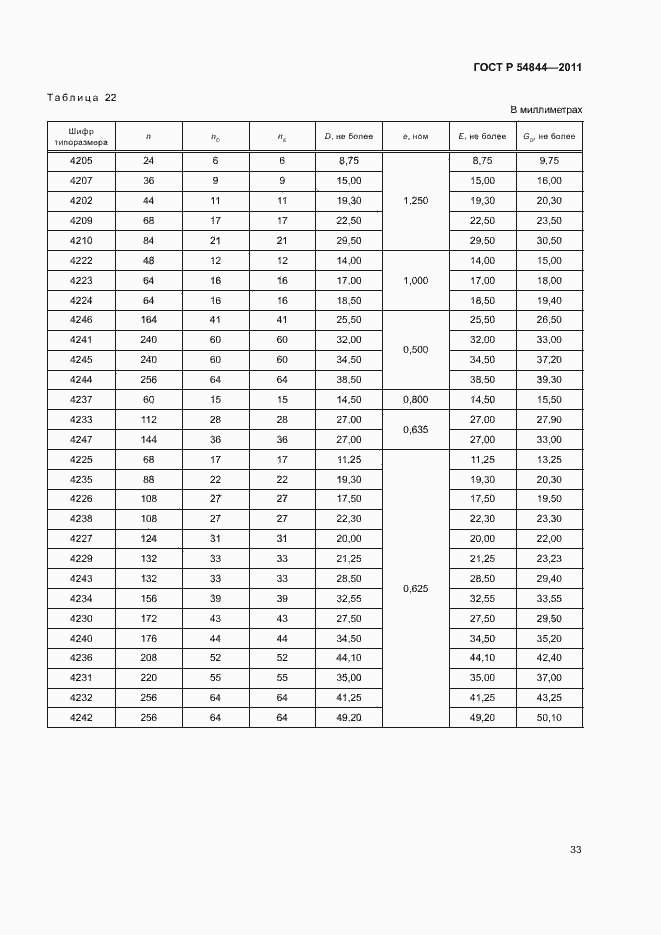
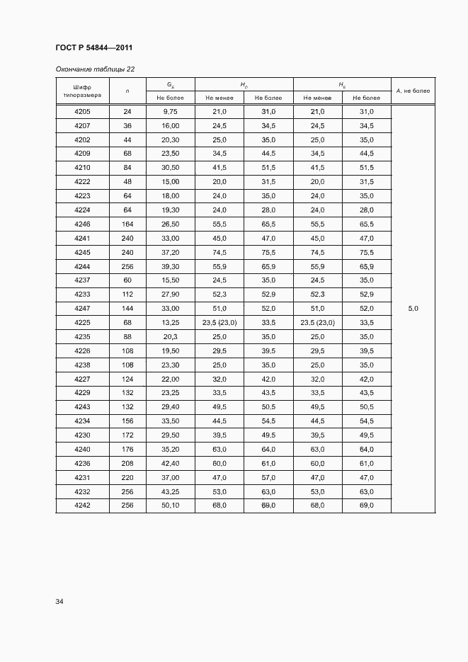
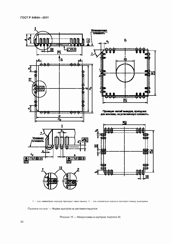
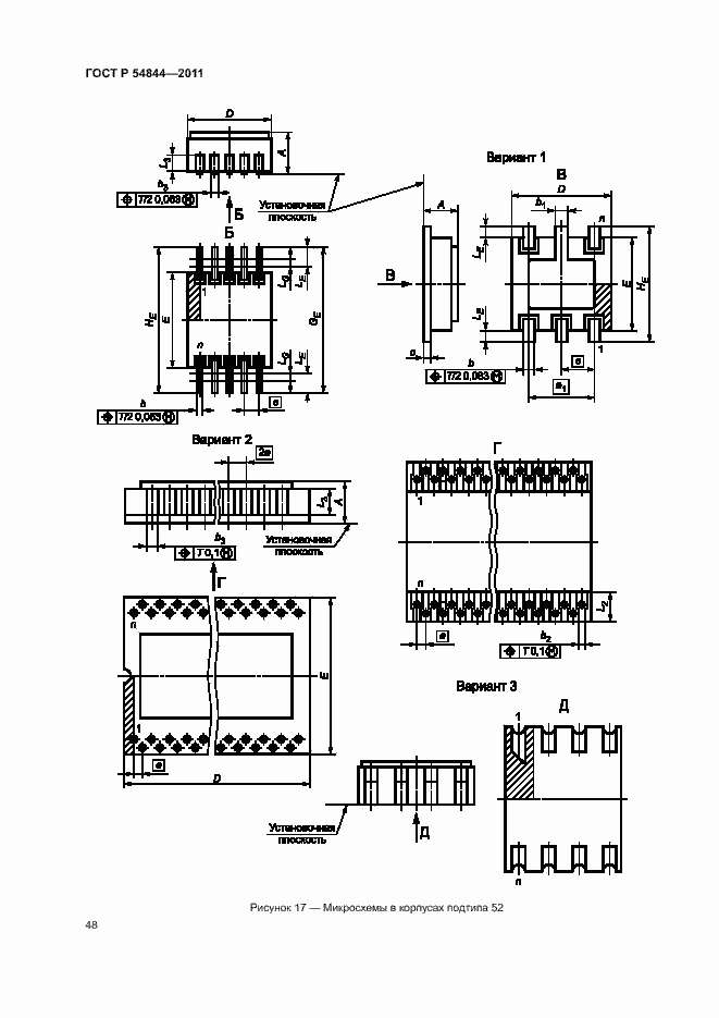
Настоящий стандарт распространяется на интегральные микросхемы, микросборки, многокристальные модули в корпусах и устанавливает их габаритные, установочные и присоединительные размеры. Настоящий стандарт предназначен для применения предприятиями, организациями и другими субъектами научной и хозяйственной деятельности независимо от форм собственности и подчинения, а также федеральными органами исполнительной власти Российской Федерации, участвующими в разработке, производстве, эксплуатации микросхем в соответствии с действующим законодательством
Связи и замены
Заменяющий:
-
Описание стандарта
ГОСТ Р 54844-2011 Микросхемы интегральные. Основные размеры
Страницы стандарта




































































