ГОСТ 16541-76 Сердечники кольцевые из магнитомягких ферритов. Основные размеры
ГОСТ
Скачать ГОСТ в PDF или DOC бесплатно
Основная информация
Обозначение:
ГОСТ 16541-76
Статус:
Действует
Тип:
ГОСТ
Название русское:
Сердечники кольцевые из магнитомягких ферритов. Основные размеры
Название английское:
Ring cores of soft ferrites. Main sizes
Даты и сроки
Дата издания:
08-01-06
Дата введения в действие:
06-30-77
Дата завершения срока действия:
-
Применение и описание
Область и условия применения:
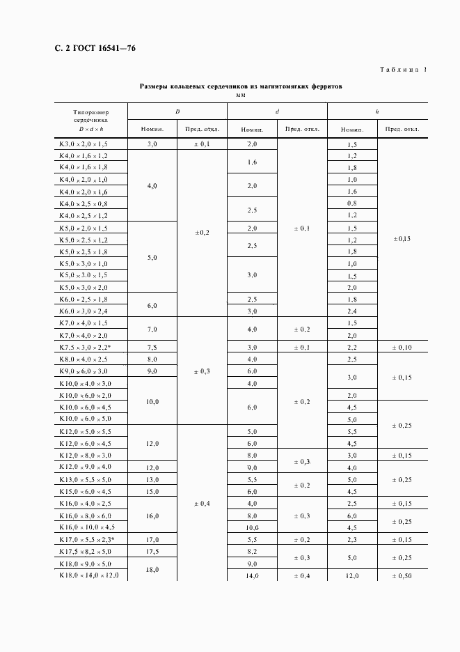
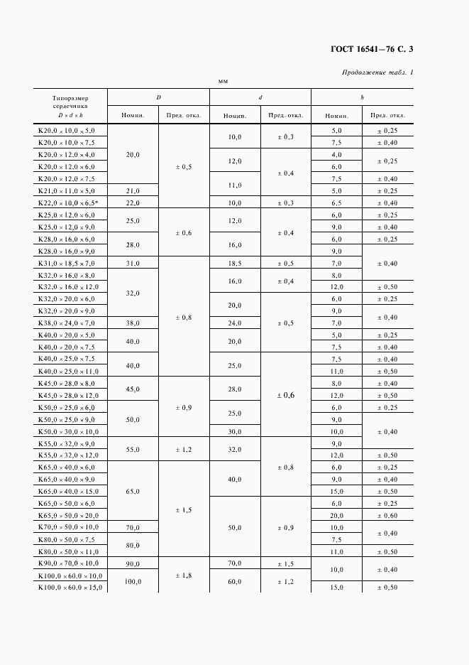
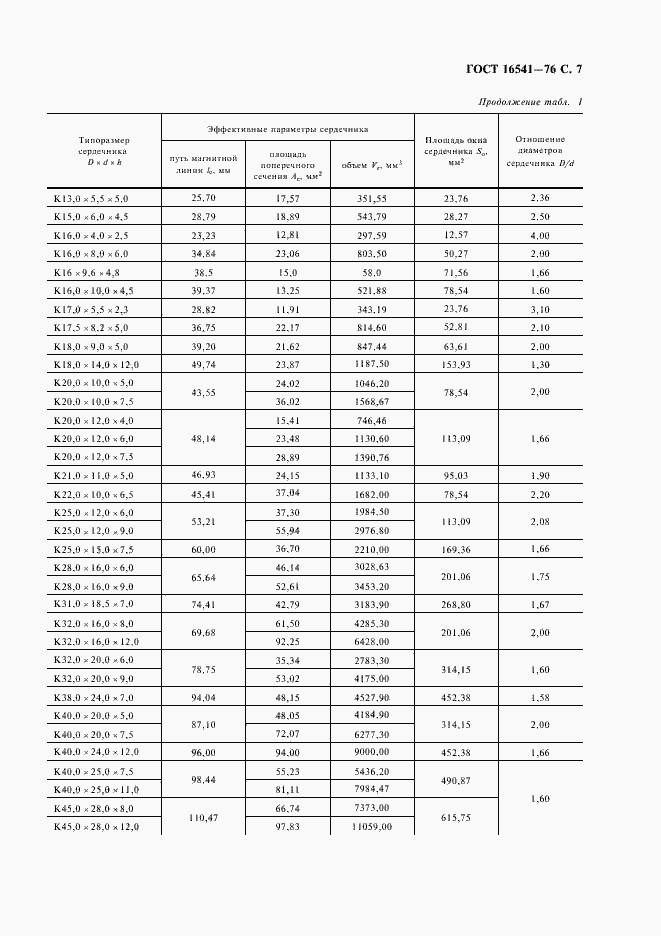
Настоящий стандарт распространяется на кольцевые сердечники прямоугольного поперечного сечения из магнитомягких ферритов, применяемые в электронной аппаратуре, и устанавливает конструкцию и основные размеры сердечников
Связи и замены
Заменяющий:
-
Взамен:
ГОСТ 16541-71
Изменения и переиздания
Список изменений:
№1 от (рег. ) «Срок действия продлен» №2 от (рег. ) «Срок действия продлен» №3 от (рег. ) «Срок действия продлен» №4 от (рег. ) «Срок действия продлен»
Описание стандарта
ГОСТ 16541-76 Сердечники кольцевые из магнитомягких ферритов. Основные размеры
Страницы стандарта










