ГОСТ 19726-79 Сердечники стержневые и трубчатые из магнитомягких ферритов. Основные размеры
ГОСТ
Скачать ГОСТ в PDF или DOC бесплатно
Основная информация
Обозначение:
ГОСТ 19726-79
Статус:
Действует
Тип:
ГОСТ
Название русское:
Сердечники стержневые и трубчатые из магнитомягких ферритов. Основные размеры
Название английское:
Rond and tubular cores of magnetically soft ferrites. Basic dimensions
Даты и сроки
Дата издания:
11-01-79
Дата введения в действие:
01-01-81
Дата завершения срока действия:
-
Применение и описание
Область и условия применения:
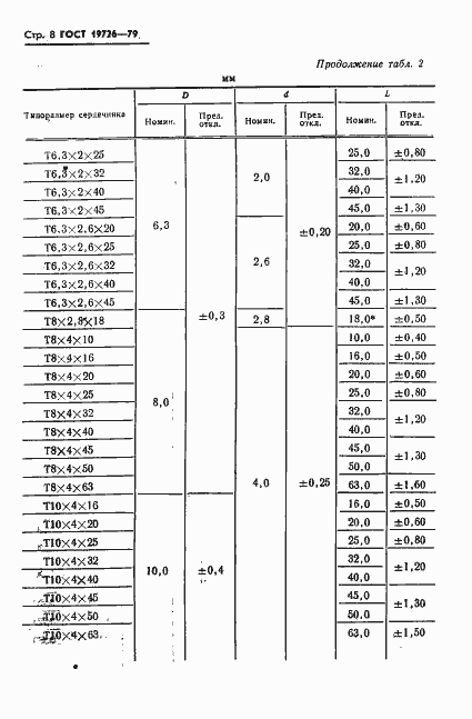
Настоящий стандарт распространяется на гладкие нешлифованные стержневые и трубчатые сердечники из магнитомягких ферритов. Стандарт не распространяется на стержневые и трубчатые сердечники, используемые в качестве подстроечников броневых сердечников, и на сердечники для антенн радиовещательных приемников
Связи и замены
Заменяющий:
-
Взамен:
ГОСТ 19726-74
Изменения и переиздания
Список изменений:
№1 от (рег. ) «Срок действия продлен»
Описание стандарта
ГОСТ 19726-79 Сердечники стержневые и трубчатые из магнитомягких ферритов. Основные размеры
Страницы стандарта












