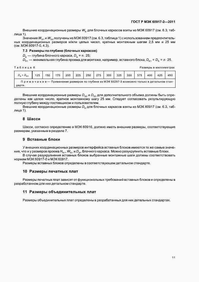
ГОСТ Р МЭК 60917-2-2011 Модульный принцип построения базовых несущих конструкций для электронного оборудования. Часть 2. Секционный стандарт. Координационные размеры интерфейса для несущих конструкций с шагом 25 мм
ГОСТ Р МЭК
Скачать ГОСТ в PDF или DOC бесплатно
Основная информация
Обозначение:
ГОСТ Р МЭК 60917-2-2011
Статус:
Действует
Тип:
ГОСТ Р МЭК
Название русское:
Модульный принцип построения базовых несущих конструкций для электронного оборудования. Часть 2. Секционный стандарт. Координационные размеры интерфейса для несущих конструкций с шагом 25 мм
Название английское:
Modular order for the development of mechanical structures for electronic equipment practices. Part 2. Sectional specification. Interface coordination dimensions for the 25 mm equipment practice
Даты и сроки
Дата издания:
08-19-13
Дата введения в действие:
07-01-12
Дата завершения срока действия:
-
Применение и описание
Область и условия применения:
Настоящий стандарт устанавливает координационные размеры интерфейса для несущих конструкций с шагом 25 мм и может применяться во всех областях электроники, в которых используется оборудование в модульном исполнении
Связи и замены
Заменяющий:
-
Описание стандарта
ГОСТ Р МЭК 60917-2-2011 Модульный принцип построения базовых несущих конструкций для электронного оборудования. Часть 2. Секционный стандарт. Координационные размеры интерфейса для несущих конструкций с шагом 25 мм
Страницы стандарта















