ГОСТ Р МЭК 62194-2017 Метод оценки тепловых характеристик корпусов электронной аппаратуры
ГОСТ Р МЭК
Скачать ГОСТ в PDF или DOC бесплатно
Основная информация
Обозначение:
ГОСТ Р МЭК 62194-2017
Статус:
Действует
Тип:
ГОСТ Р МЭК
Название русское:
Метод оценки тепловых характеристик корпусов электронной аппаратуры
Название английское:
Method of evaluating the thermal performance of enclosures
Даты и сроки
Дата издания:
12-05-17
Дата введения в действие:
07-01-18
Дата завершения срока действия:
-
Применение и описание
Область и условия применения:
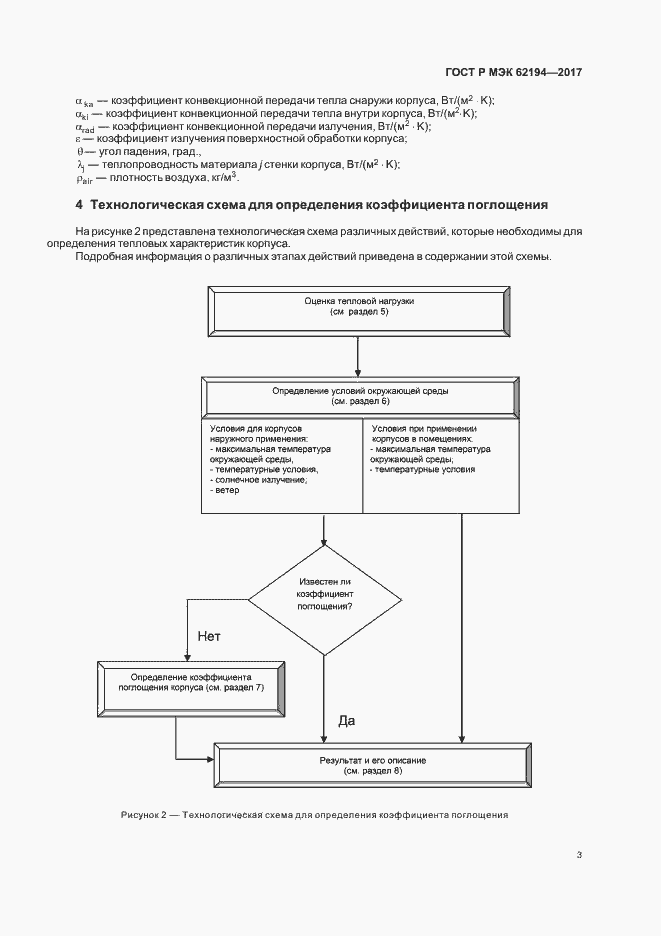
Настоящий стандарт устанавливает метод оценки тепловых характеристик полых корпусов, устанавливаемых в помещении в соответствии с МЭК 60917 и МЭК 60297 и корпусов для наружной установки в соответствии с МЭК 61969. Настоящий стандарт содержит критерии для определения коэффициентов поглощения тепла, связанные: - с принципами исполнения корпуса; - внутренней тепловой нагрузкой; - солнечным излучением. Коэффициент поглощения корпуса предназначен для обеспечения общего значения для сравнения и выбора корпуса, построенного в соответствии с настоящим стандартом
Связи и замены
Заменяющий:
-
Описание стандарта
ГОСТ Р МЭК 62194-2017 Метод оценки тепловых характеристик корпусов электронной аппаратуры
Страницы стандарта



























