ГОСТ IEC/TR 60825-9-2013 Безопасность лазерной аппаратуры. Часть 9. Компиляция максимально допустимой экспозиции некогерентного оптического излучения
Прочее...
Скачать ГОСТ в PDF или DOC бесплатно
Основная информация
Обозначение:
ГОСТ IEC/TR 60825-9-2013
Статус:
Действует
Тип:
Прочее...
Название русское:
Безопасность лазерной аппаратуры. Часть 9. Компиляция максимально допустимой экспозиции некогерентного оптического излучения
Название английское:
Safety of laser products. Part 9. Compilation of maximum permissible exposure to incoherent optical radiation
Даты и сроки
Дата регистрации:
06-07-13
Дата издания:
02-25-14
Дата введения в действие:
07-01-14
Дата завершения срока действия:
-
Применение и описание
Область и условия применения:
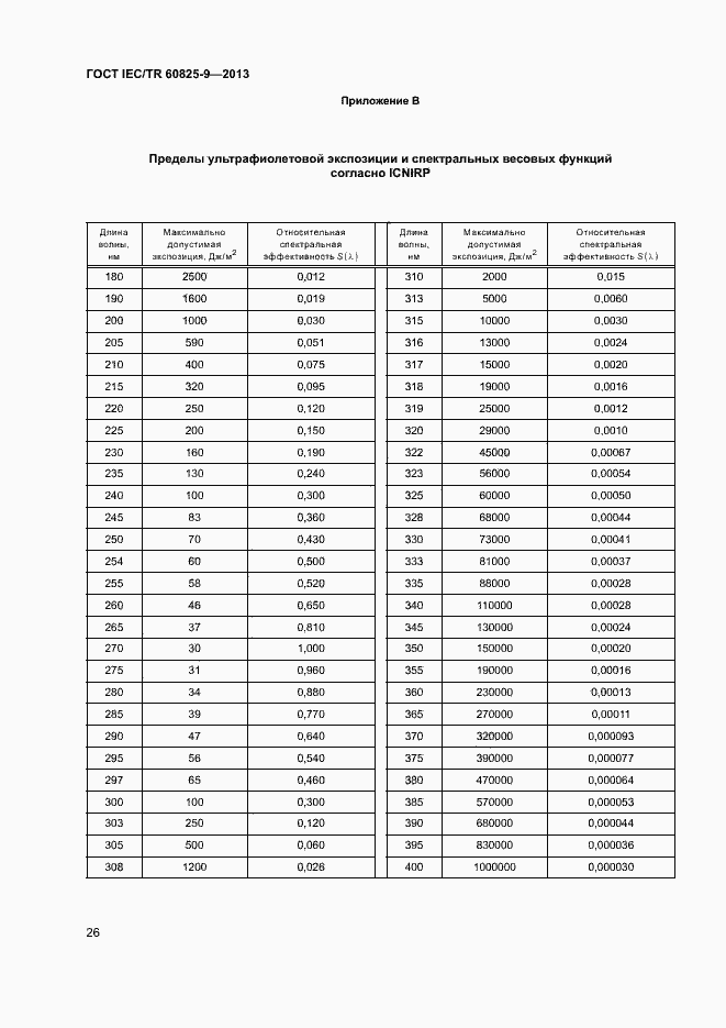
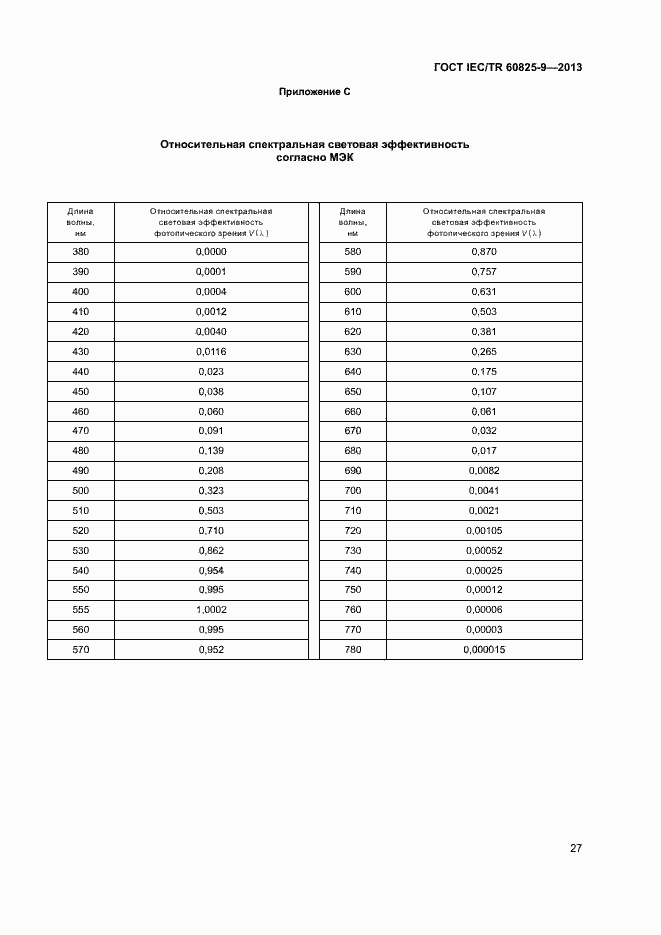
Настоящий стандарт приводит в соответствие действие значений максимально допустимой экспозиции для экспозиции некогерентного оптического излучения от искусственных источников на глаз человека или его кожу в диапазоне длин волн от 180 до 3000 нм с предельным согласованием. Эти величины базируются на доступной экспериментально изученной информации и могут использоваться только как инструкция при контроле экспозиции излучения искусственных источников, и не будут рассматриваться как линейный процесс между безопасностью и опасными уровнями
Связи и замены
Заменяющий:
-
Описание стандарта
ГОСТ IEC/TR 60825-9-2013 Безопасность лазерной аппаратуры. Часть 9. Компиляция максимально допустимой экспозиции некогерентного оптического излучения
Страницы стандарта



































