ГОСТ 26631-85 Аппаратура факсимильная со средствами сокращения избыточности для передачи и приема фотофаксимильной информации. Основные параметры
ГОСТ
Скачать ГОСТ в PDF или DOC бесплатно
Основная информация
Обозначение:
ГОСТ 26631-85
Статус:
Действует
Тип:
ГОСТ
Название русское:
Аппаратура факсимильная со средствами сокращения избыточности для передачи и приема фотофаксимильной информации. Основные параметры
Название английское:
Facsimile apparatus with redundancy reduction means for photofacsimile information transmission and reception. Basic parameters
Даты и сроки
Дата издания:
12-01-01
Дата введения в действие:
01-01-87
Дата завершения срока действия:
-
Применение и описание
Область и условия применения:
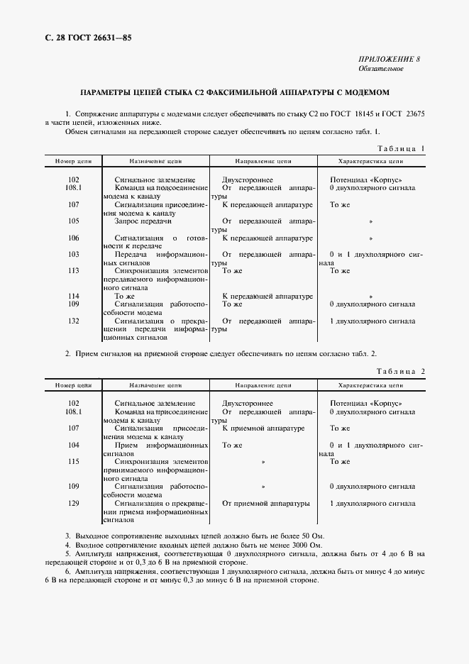
Настоящий стандарт распространяется на факсимильную аппаратуру со средствами сокращения избыточности для передачи и приема фотофаксимильной информации типа 2, группы 3, подгруппы 1 по ГОСТ 12922, предназначенную для цифровой факсимильной связи по телефонной сети общего пользования и ведомственным телефонным сетям с отдельными или встроенными модемами по Рекомендациям МККТТ V.26, V.27, V.27-бис, V.33 при работе по арендованным каналам и V.23, V.26-бис, V.27-тер V.32 при работе по коммутируемым телефонным каналам, а также по волокoнно-оптическим соединительным линиям связи (ВОСЛС) и первичным цифровым трактам связи, и устанавливает ее основные параметры
Связи и замены
Заменяющий:
-
Изменения и переиздания
Список изменений:
№1 от (рег. ) «Срок действия продлен» №2 от (рег. ) «Срок действия продлен»
Описание стандарта
ГОСТ 26631-85 Аппаратура факсимильная со средствами сокращения избыточности для передачи и приема фотофаксимильной информации. Основные параметры
Страницы стандарта






























