ГОСТ Р 55898-2013 Технические средства радиосвязи. Взаимные радиопомехи в локальной группировке. Методы расчета
ГОСТ Р
Скачать ГОСТ в PDF или DOC бесплатно
Основная информация
Обозначение:
ГОСТ Р 55898-2013
Статус:
Действует
Тип:
ГОСТ Р
Название русское:
Технические средства радиосвязи. Взаимные радиопомехи в локальной группировке. Методы расчета
Название английское:
Technical means of radio communication. Mutual radio interferences in local group. Calculation methods
Даты и сроки
Дата издания:
04-06-20
Дата введения в действие:
07-01-14
Дата завершения срока действия:
-
Применение и описание
Область и условия применения:
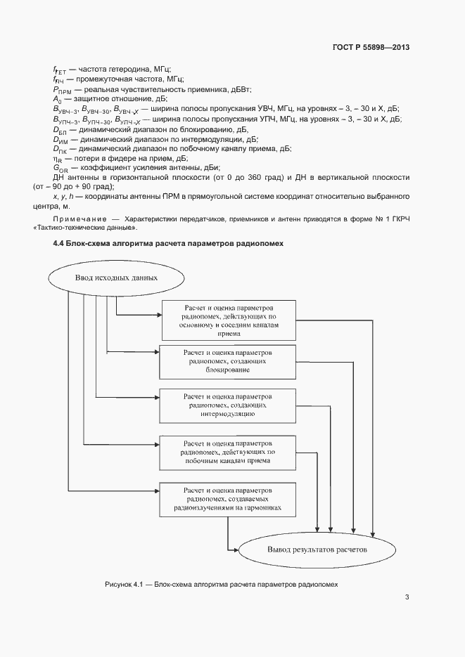
Настоящий стандарт распространяется на технические средства радиосвязи, размещенные в локальной группировке, работающие в полосе частот от 27 МГц до 40 ГГц. Стандарт устанавливает методы расчета параметров радиопомех от передатчиков группировки приемникам группировки, для которых рассматриваемые передатчики не являются корреспондентами. Учитывается воздействие излучений передатчиков через антенну на приемники по антенному порту. Не учитывается влияния передатчиков, расположенных вне группировки, на приемники группировки; не учитывается электромагнитный шум, в том числе индустриальные радиопомехи. Методы расчета, установленные в настоящем стандарте, применяют на стадиях проектирования объектов связи и навигации. Методы учитывают топографию проектируемого объекта и технические характеристики оборудования
Связи и замены
Заменяющий:
-
Описание стандарта
ГОСТ Р 55898-2013 Технические средства радиосвязи. Взаимные радиопомехи в локальной группировке. Методы расчета
Страницы стандарта















