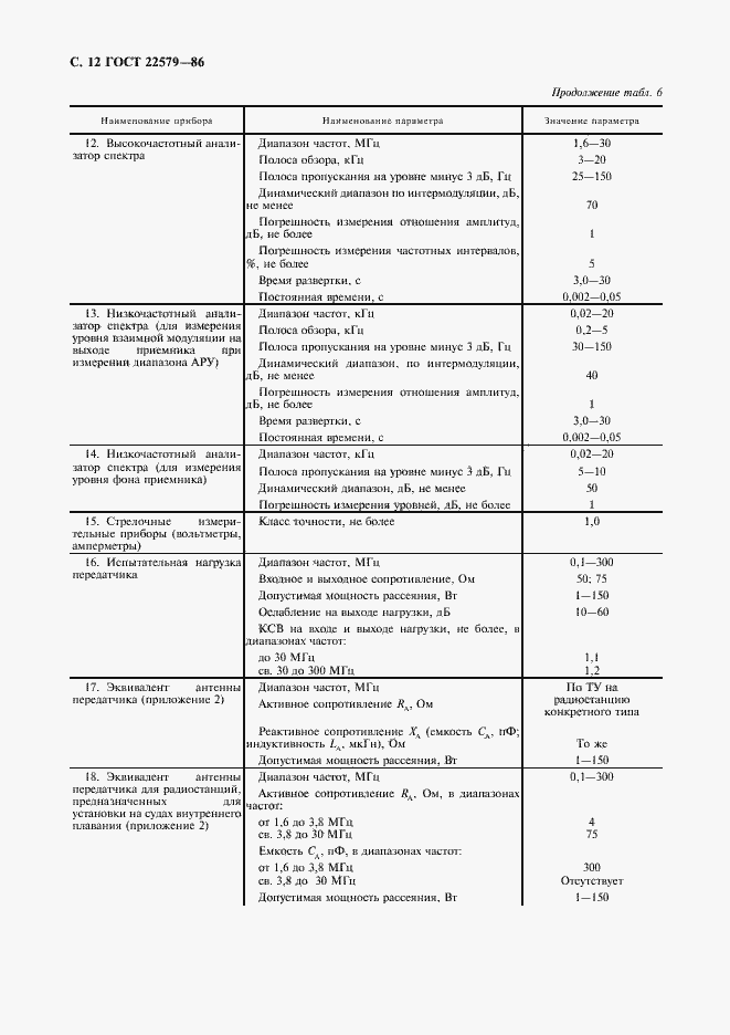
ГОСТ 22579-86 Радиостанции с однополосной модуляцией сухопутной подвижной службы. Типы, основные параметры, технические требования и методы измерений
ГОСТ
Скачать ГОСТ в PDF или DOC бесплатно
Основная информация
Обозначение:
ГОСТ 22579-86
Статус:
Действует
Тип:
ГОСТ
Название русское:
Радиостанции с однополосной модуляцией сухопутной подвижной службы. Типы, основные параметры, технические требования и методы измерений
Название английское:
Single-sideband modulation radio stations of land mobile service. Types, basic parameters, technical requirements and methods of measurement
Даты и сроки
Дата издания:
03-01-01
Дата введения в действие:
06-30-87
Дата завершения срока действия:
-
Применение и описание
Область и условия применения:
Настоящий стандарт распространяется на радиостанции с однополосной модуляцией, предназначенные для организации сухопутной подвижной радиотелефонной связи в различных отраслях народного хозяйства и ведомствах в диапазоне частот 1,6-30 МГц
Связи и замены
Заменяющий:
-
Взамен:
ГОСТ 22579-77
Изменения и переиздания
Список изменений:
№1 от (рег. ) «Срок действия продлен»
Описание стандарта
ГОСТ 22579-86 Радиостанции с однополосной модуляцией сухопутной подвижной службы. Типы, основные параметры, технические требования и методы измерений
Страницы стандарта





































