ГОСТ Р 56153-2014 Аналоговые радиостанции. Основные параметры. Технические требования
ГОСТ Р
Скачать ГОСТ в PDF или DOC бесплатно
Основная информация
Обозначение:
ГОСТ Р 56153-2014
Статус:
Действует
Тип:
ГОСТ Р
Название русское:
Аналоговые радиостанции. Основные параметры. Технические требования
Название английское:
Analog radio stations. Basic parameters. Technical requirements
Даты и сроки
Дата издания:
06-29-20
Дата введения в действие:
09-01-15
Дата завершения срока действия:
-
Применение и описание
Область и условия применения:
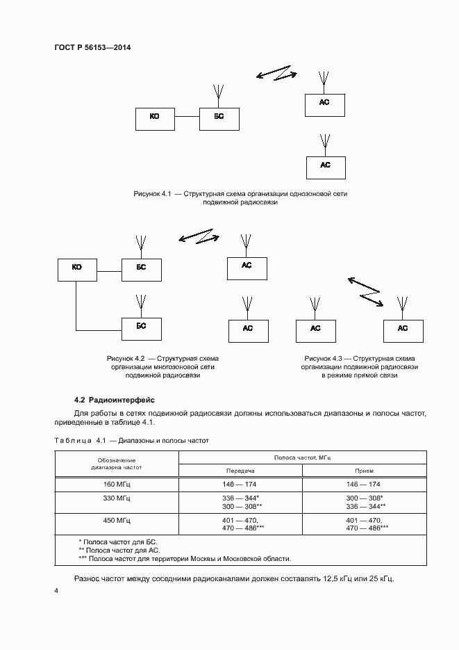
Настоящий стандарт распространяется на базовые станции (БС) и абонентские радиостанции (АС) с угловой модуляцией (фазовой или частотной) с разносом частот между соседними каналами 12,5 и 25 кГц. Настоящий стандарт устанавливает требования к указанному оборудованию в части параметров радиоинтерфейса, электромагнитной совместимости, устойчивости к внешним воздействиям и безопасности
Связи и замены
Заменяющий:
-
Описание стандарта
ГОСТ Р 56153-2014 Аналоговые радиостанции. Основные параметры. Технические требования
Страницы стандарта






























