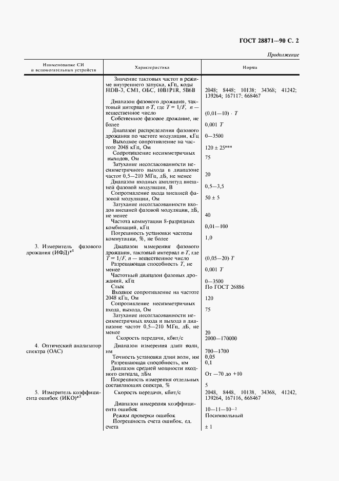
ГОСТ 28871-90 Аппаратура линейных трактов цифровых волоконно-оптических систем передачи. Методы измерения основных параметров
ГОСТ
Скачать ГОСТ в PDF или DOC бесплатно
Основная информация
Обозначение:
ГОСТ 28871-90
Статус:
Действует
Тип:
ГОСТ
Название русское:
Аппаратура линейных трактов цифровых волоконно-оптических систем передачи. Методы измерения основных параметров
Название английское:
Line transmission path equipment of digital optical-fibre transmission systems. Methods of measuring basic parameters
Даты и сроки
Дата издания:
08-01-05
Дата введения в действие:
01-01-92
Дата завершения срока действия:
-
Применение и описание
Область и условия применения:
Настоящий стандарт распространяется на обслуживаемую и необслуживаемую аппаратуру линейных трактов цифровых волоконно-оптических систем передачи
Связи и замены
Заменяющий:
-
Описание стандарта
ГОСТ 28871-90 Аппаратура линейных трактов цифровых волоконно-оптических систем передачи. Методы измерения основных параметров
Страницы стандарта







