ГОСТ Р 55266-2012 Совместимость технических средств электромагнитная. Оборудование сетей связи. Требования и методы испытаний
ГОСТ Р
Скачать ГОСТ в PDF или DOC бесплатно
Основная информация
Обозначение:
ГОСТ Р 55266-2012
Статус:
Действует
Тип:
ГОСТ Р
Название русское:
Совместимость технических средств электромагнитная. Оборудование сетей связи. Требования и методы испытаний
Название английское:
Electromagnetic compatibility of technical equipment. Telecommunication network equipment. Requirements and test methods
Даты и сроки
Дата издания:
05-21-13
Дата введения в действие:
01-01-13
Дата завершения срока действия:
-
Применение и описание
Область и условия применения:
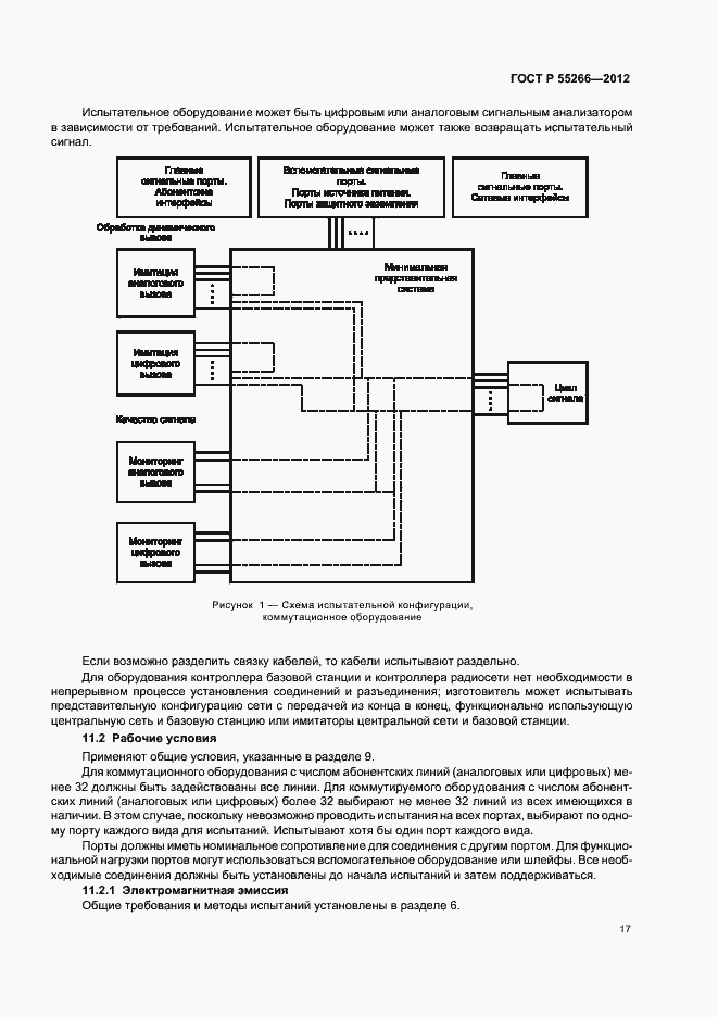
Настоящий стандарт устанавливает требования электромагнитной совместимости к оборудованию, не относящемуся к радиооборудованию, предназначенному для использования в общественных сетях связи, обеспечивающему связь между сетевыми оконечными точками, исключая оконечное абонентское оборудование, применяемое за пределами сетевых оконечных точек
Связи и замены
Заменяющий:
-
Описание стандарта
ГОСТ Р 55266-2012 Совместимость технических средств электромагнитная. Оборудование сетей связи. Требования и методы испытаний
Страницы стандарта







































