ГОСТ 28681.4-95 Туристско-экскурсионное обслуживание. Классификация гостиниц
ГОСТ
Скачать ГОСТ в PDF или DOC бесплатно
Основная информация
Обозначение:
ГОСТ 28681.4-95
Статус:
Утратил силу в РФ
Тип:
ГОСТ
Название русское:
Туристско-экскурсионное обслуживание. Классификация гостиниц
Название английское:
Tourist and excursion service. Classification for hotels
Даты и сроки
Дата регистрации:
04-26-95
Дата издания:
08-10-04
Дата введения в действие:
06-30-96
Дата завершения срока действия:
08-01-06
Применение и описание
Область и условия применения:
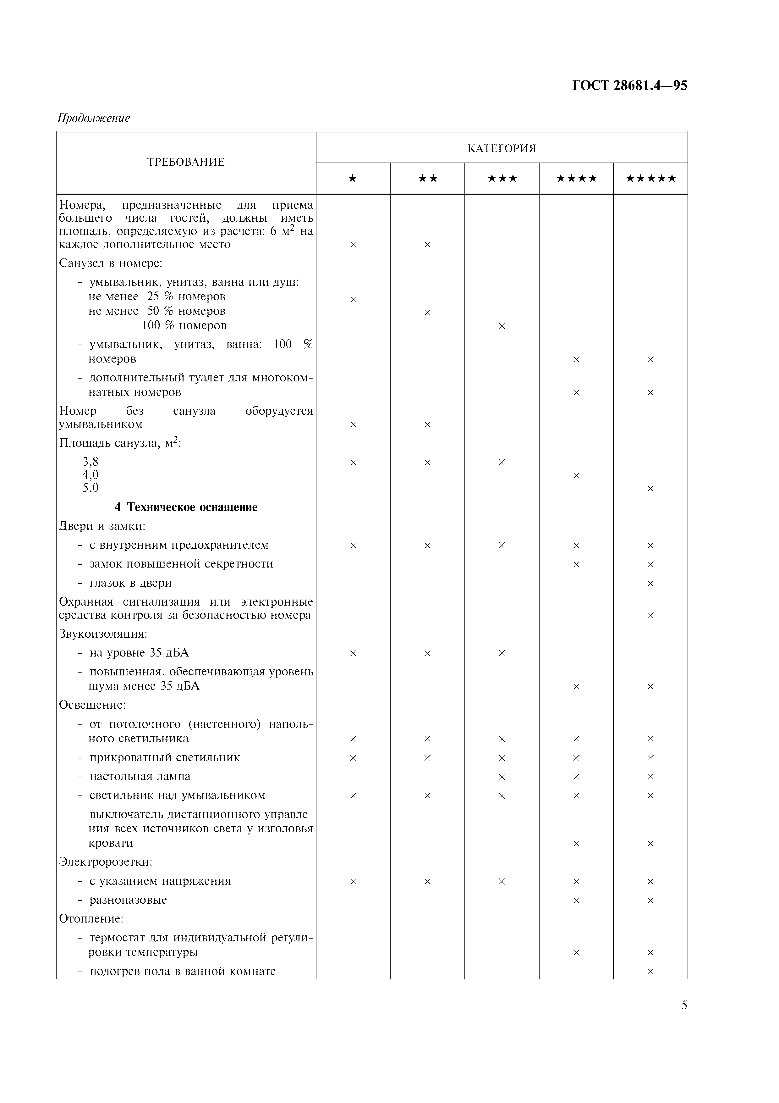
Настоящий стандарт устанавливает классификацию гостиниц (мотелей) различных организационно-правовых форм вместимостью не менее 10 номеров. Классификация не распространяется на дома и помещения, сдаваемые внаем для проживания
Связи и замены
Заменяющий:
-
Изменения и переиздания
Список изменений:
№0 от (рег. ) «Поправка к изменению»
Описание стандарта
ГОСТ 28681.4-95 Туристско-экскурсионное обслуживание. Классификация гостиниц
Страницы стандарта















