ГОСТ CISPR 16-1-1-2016 Требования к аппаратуре для измерения радиопомех и помехоустойчивости и методы измерения. Часть 1-1. Аппаратура для измерения радиопомех и помехоустойчивости. Измерительная аппаратура
Прочее...
Скачать ГОСТ в PDF или DOC бесплатно
Основная информация
Обозначение:
ГОСТ CISPR 16-1-1-2016
Статус:
Действует
Тип:
Прочее...
Название русское:
Требования к аппаратуре для измерения радиопомех и помехоустойчивости и методы измерения. Часть 1-1. Аппаратура для измерения радиопомех и помехоустойчивости. Измерительная аппаратура
Название английское:
Specification for radio disturbance and immunity measuring apparatus and methods. Part 1-1. Radio disturbance and immunity measuring apparatus. Measuring apparatus
Даты и сроки
Дата регистрации:
11-22-16
Дата издания:
08-17-20
Дата введения в действие:
09-01-17
Дата завершения срока действия:
-
Применение и описание
Область и условия применения:
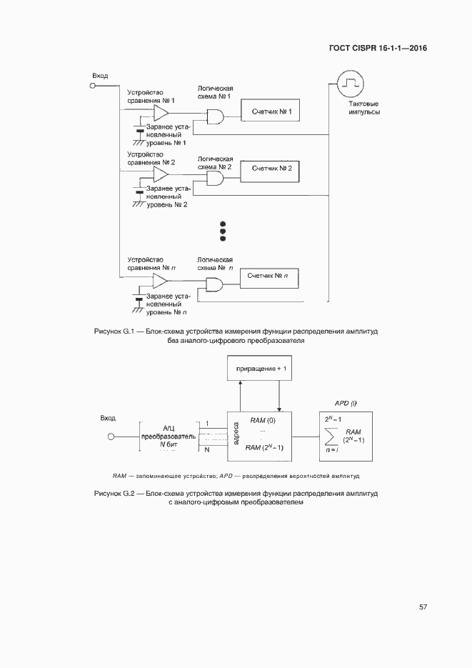
Настоящий стандарт устанавливает характеристики и качество функционирования оборудования для измерения радиопомех в полосе частот от 9 кГц до 18 ГГц. Установлены также требования к специализированным приборам для измерений прерывистых радиопомех
Связи и замены
Заменяющий:
-
Описание стандарта
ГОСТ CISPR 16-1-1-2016 Требования к аппаратуре для измерения радиопомех и помехоустойчивости и методы измерения. Часть 1-1. Аппаратура для измерения радиопомех и помехоустойчивости. Измерительная аппаратура
Страницы стандарта





















































































Приложение №1: Поправка к ГОСТ CISPR 16-1-1-2016 Обозначение: Поправка к ГОСТ CISPR 16-1-1-2016 Дата введения в действие: 12.02.2020
