ГОСТ Р 51317.4.4-99 Совместимость технических средств электромагнитная. Устойчивость к наносекундным импульсным помехам. Требования и методы испытаний
ГОСТ Р
Скачать ГОСТ в PDF или DOC бесплатно
Основная информация
Обозначение:
ГОСТ Р 51317.4.4-99
Статус:
Заменен
Тип:
ГОСТ Р
Название русское:
Совместимость технических средств электромагнитная. Устойчивость к наносекундным импульсным помехам. Требования и методы испытаний
Название английское:
Electromagnetic compatibility of technical equipment. Immunity to electrical fast transient/burst. Requirements and test methods
Даты и сроки
Дата издания:
06-01-01
Дата введения в действие:
01-01-01
Дата завершения срока действия:
07-01-08
Применение и описание
Область и условия применения:
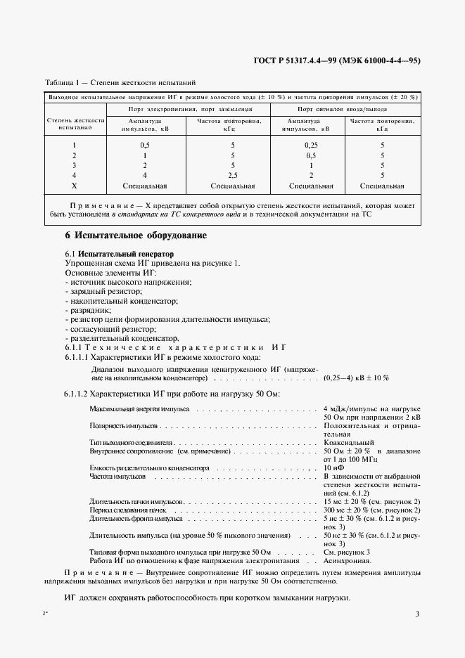
Настоящий стандарт распространяется на электротехнические, электронные и радиоэлектронные изделия и оборудование и устанавливает требования и методы испытаний технических средств на устойчивость к наносекундным импульсным помехам
Связи и замены
Заменяющий:
ГОСТ Р 51317.4.4-2007
Описание стандарта
ГОСТ Р 51317.4.4-99 Совместимость технических средств электромагнитная. Устойчивость к наносекундным импульсным помехам. Требования и методы испытаний
Страницы стандарта





















