ГОСТ Р 52459.14-2009 Совместимость технических средств электромагнитная. Технические средства радиосвязи. Часть 14. Частные требования к аналоговым и цифровым телевизионным радиопередатчикам
ГОСТ Р
Скачать ГОСТ в PDF или DOC бесплатно
Основная информация
Обозначение:
ГОСТ Р 52459.14-2009
Статус:
Отменен
Тип:
ГОСТ Р
Название русское:
Совместимость технических средств электромагнитная. Технические средства радиосвязи. Часть 14. Частные требования к аналоговым и цифровым телевизионным радиопередатчикам
Название английское:
Еlectromagnetic compatibility of technical equipment. Radio communication equipment. Part 14. Specific requirements for analogue and digital terrestrial TV broadcasting service transmitters
Даты и сроки
Дата издания:
02-15-10
Дата введения в действие:
01-01-10
Дата завершения срока действия:
01-01-14
Применение и описание
Область и условия применения:
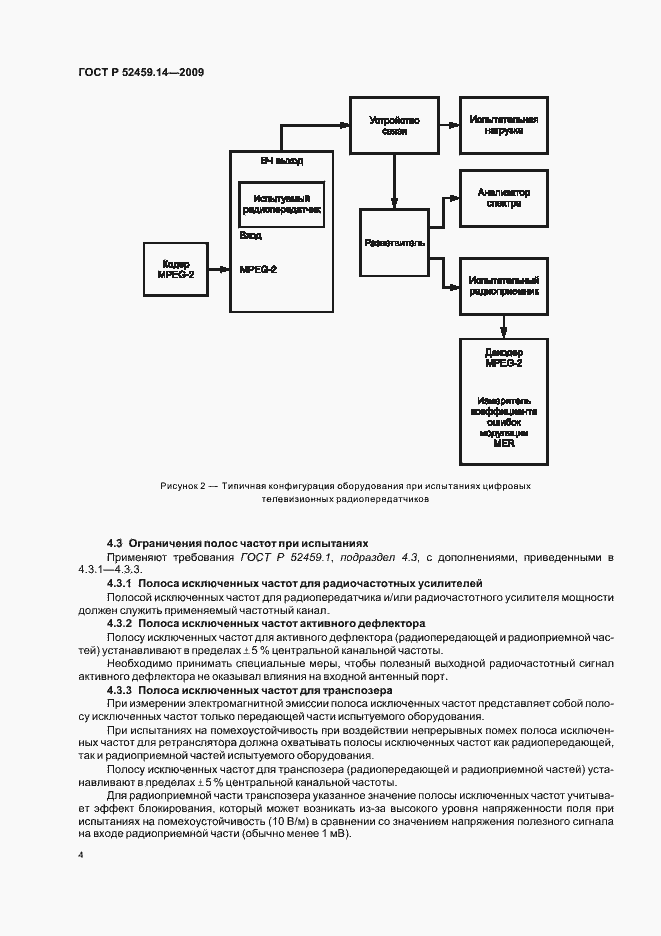
Настоящий стандарт, совместно с ГОСТ Р 52459.1, устанавливает требования электромагнитной совместимости к аналоговым и цифровым радиопередатчикам, возбудителям и связанному с ними вспомогательному оборудованию, предназначенным для применения в радиовещательной службе для передачи телевидения, а также соответствующие методы испытаний. Настоящий стандарт не устанавливает требований, относящихся к антенному порту радиопередатчиков и эмиссии излучаемых помех от порта корпуса радиопередатчиков. Настоящий стандарт также устанавливает условия испытаний, оценку качества функционирования и критерии качества функционирования для аналоговых и цифровых наземных телевизионных радиопередатчиков и связанного с ними вспомогательного оборудования
Связи и замены
Заменяющий:
-
Изменения и переиздания
Список изменений:
№0 от (рег. ) «Текстовое изменение; Изменено заглавие»
Описание стандарта
ГОСТ Р 52459.14-2009 Совместимость технических средств электромагнитная. Технические средства радиосвязи. Часть 14. Частные требования к аналоговым и цифровым телевизионным радиопередатчикам
Страницы стандарта



















