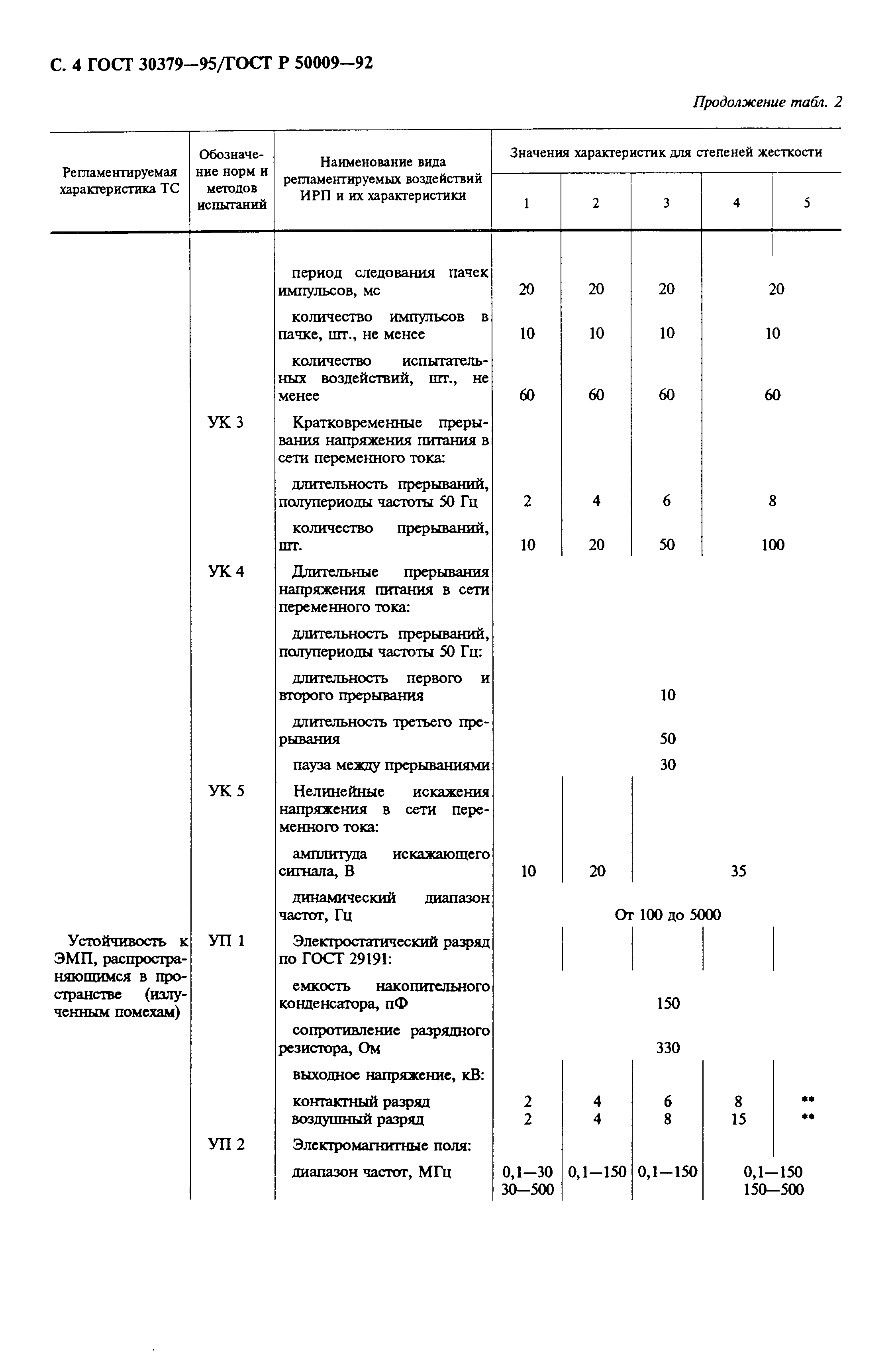
ГОСТ 30379-95 Совместимость технических средств охранной, пожарной и охранно-пожарной сигнализации электромагнитная. Требования, нормы и методы испытаний на помехоустойчивость и индустриальные радиопомехи
ГОСТ
Скачать ГОСТ в PDF или DOC бесплатно
Основная информация
Обозначение:
ГОСТ 30379-95
Статус:
Утратил силу в РФ
Тип:
ГОСТ
Название русское:
Совместимость технических средств охранной, пожарной и охранно-пожарной сигнализации электромагнитная. Требования, нормы и методы испытаний на помехоустойчивость и индустриальные радиопомехи
Название английское:
Electromagnetic compatibility of technical means of protection fire-alarm and fire-protection systems. Requirements, standards and methods of tests on interference immunity and industrial interference
Даты и сроки
Дата издания:
04-06-99
Дата введения в действие:
01-01-97
Дата завершения срока действия:
01-01-02
Применение и описание
Область и условия применения:
Настоящий стандарт распространяется на разрабатываемые, изготовляемые, модернизируемые и импортируемые технические средства охранной, пожарной и охранно-пожарной сигнализации
Связи и замены
Заменяющий:
-
Изменения и переиздания
Список изменений:
№0 от (рег. ) «Поправка к изменению»
Описание стандарта
ГОСТ 30379-95 Совместимость технических средств охранной, пожарной и охранно-пожарной сигнализации электромагнитная. Требования, нормы и методы испытаний на помехоустойчивость и индустриальные радиопомехи
Страницы стандарта











