ГОСТ IEC 61883-1-2014 Бытовая аудио/видео аппаратура. Цифровой интерфейс. Часть 1. Общие положения
ГОСТ МЭК
Скачать ГОСТ в PDF или DOC бесплатно
Основная информация
Обозначение:
ГОСТ IEC 61883-1-2014
Статус:
Действует
Тип:
ГОСТ МЭК
Название русское:
Бытовая аудио/видео аппаратура. Цифровой интерфейс. Часть 1. Общие положения
Название английское:
Consumer audio/video equipment. Digital interface. Part 1. General
Даты и сроки
Дата регистрации:
07-30-14
Дата издания:
10-16-18
Дата введения в действие:
09-01-15
Дата завершения срока действия:
-
Применение и описание
Область и условия применения:
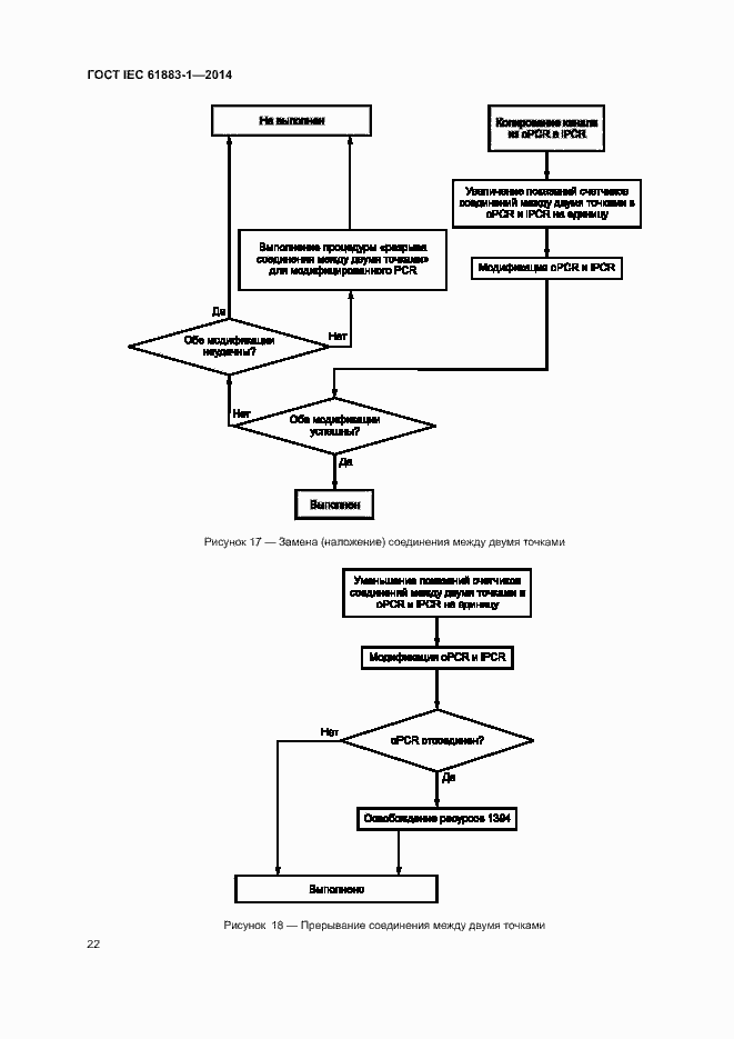
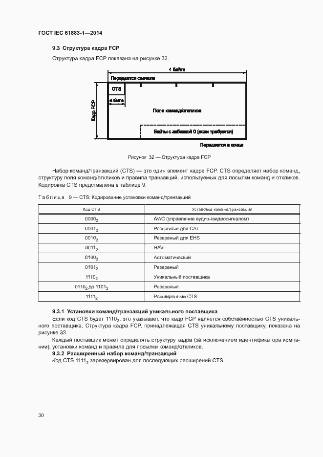
Настоящий стандарт устанавливает требования к цифровому интерфейсу для бытовой электронной аудио/видеоаппаратуры, использующей спецификацию IEEE 1394. Настоящий стандарт описывает основной формат пакета данных, управление потоком данных и управление соединением для аудио/видео данных, а также основные правила передачи команд управления. Целью настоящего стандарта является определение протокола передачи аудио/видео данных и команд управления, обеспечивающих взаимодействие цифрового звукового и видеооборудования с использованием спецификации IEEE 1394
Связи и замены
Заменяющий:
-
Описание стандарта
ГОСТ IEC 61883-1-2014 Бытовая аудио/видео аппаратура. Цифровой интерфейс. Часть 1. Общие положения
Страницы стандарта






































