ГОСТ IEC 62087-2014 Методы измерений потребления энергии аудио-, видеоаппаратурой и связанным с ней оборудованием
ГОСТ МЭК
Скачать ГОСТ в PDF или DOC бесплатно
Основная информация
Обозначение:
ГОСТ IEC 62087-2014
Статус:
Утратил силу в РФ
Тип:
ГОСТ МЭК
Название русское:
Методы измерений потребления энергии аудио-, видеоаппаратурой и связанным с ней оборудованием
Название английское:
Methods of measurement for the power consumption of audio, video and related equipment
Даты и сроки
Дата регистрации:
07-30-14
Дата издания:
09-03-15
Дата введения в действие:
09-01-15
Дата завершения срока действия:
10-01-18
Применение и описание
Область и условия применения:
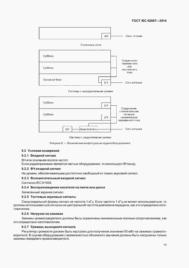
Настоящий стандарт определяет методы измерения потребления энергии телевизионными приемниками, видео- регистрирующей аппаратурой, телевизионными ресиверами, звуковым оборудованием и многофункциональным оборудованием для потребительского использования. Телевизионные приемники включены в данный стандарт, без ограничений для телевизионных приемников с электронно-лучевой трубкой, жидкокристаллическим дисплеем, плазменных панелей или проекторов
Связи и замены
Заменяющий:
-
Изменения и переиздания
Список изменений:
№0 от (рег. ) «Поправка к изменению»
Описание стандарта
ГОСТ IEC 62087-2014 Методы измерений потребления энергии аудио-, видеоаппаратурой и связанным с ней оборудованием
Страницы стандарта












































