ГОСТ Р МЭК 62087-2-2017 Аудио-, видеоаппаратура и связанное с ней оборудование. Определение потребления энергии. Часть 2. Сигналы и носители информации
ГОСТ Р МЭК
Скачать ГОСТ в PDF или DOC бесплатно
Основная информация
Обозначение:
ГОСТ Р МЭК 62087-2-2017
Статус:
Действует
Тип:
ГОСТ Р МЭК
Название русское:
Аудио-, видеоаппаратура и связанное с ней оборудование. Определение потребления энергии. Часть 2. Сигналы и носители информации
Название английское:
Audio, video and related equipment. Determination of power consumption. Part 2. Signals and media
Даты и сроки
Дата издания:
02-06-18
Дата введения в действие:
10-01-18
Дата завершения срока действия:
-
Применение и описание
Область и условия применения:
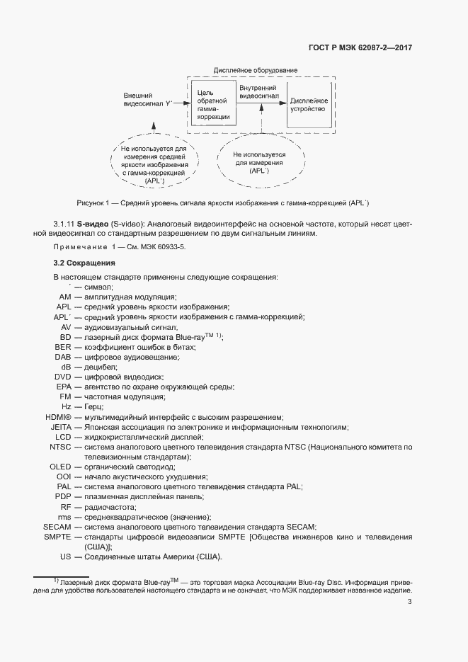
Настоящий стандарт устанавливает требования к сигналам и носителям информации, используемым при определении потребления энергии аудио-, видеоаппаратурой и связанным с ней оборудованием, например, телевизионными приемниками и мониторами компьютеров, а также устанавливает требования к сигналам для определения коэффициента пиковой яркости, что иногда связано с программами измерения потребления энергии телевизионными приемниками. В настоящем стандарте определено оборудование, интерфейсы и установлена погрешность, связанная с генерированием сигнала
Связи и замены
Заменяющий:
-
Описание стандарта
ГОСТ Р МЭК 62087-2-2017 Аудио-, видеоаппаратура и связанное с ней оборудование. Определение потребления энергии. Часть 2. Сигналы и носители информации
Страницы стандарта























