ГОСТ Р МЭК 62087-6-2017 Аудио-, видеоаппаратура и связанное с ней оборудование. Определение потребления энергии. Часть 6. Аудиооборудование
ГОСТ Р МЭК
Скачать ГОСТ в PDF или DOC бесплатно
Основная информация
Обозначение:
ГОСТ Р МЭК 62087-6-2017
Статус:
Действует
Тип:
ГОСТ Р МЭК
Название русское:
Аудио-, видеоаппаратура и связанное с ней оборудование. Определение потребления энергии. Часть 6. Аудиооборудование
Название английское:
Audio-, video and related equipment. Determination of power consumption. Part 6. Audio equipment
Даты и сроки
Дата издания:
02-06-18
Дата введения в действие:
10-01-18
Дата завершения срока действия:
-
Применение и описание
Область и условия применения:
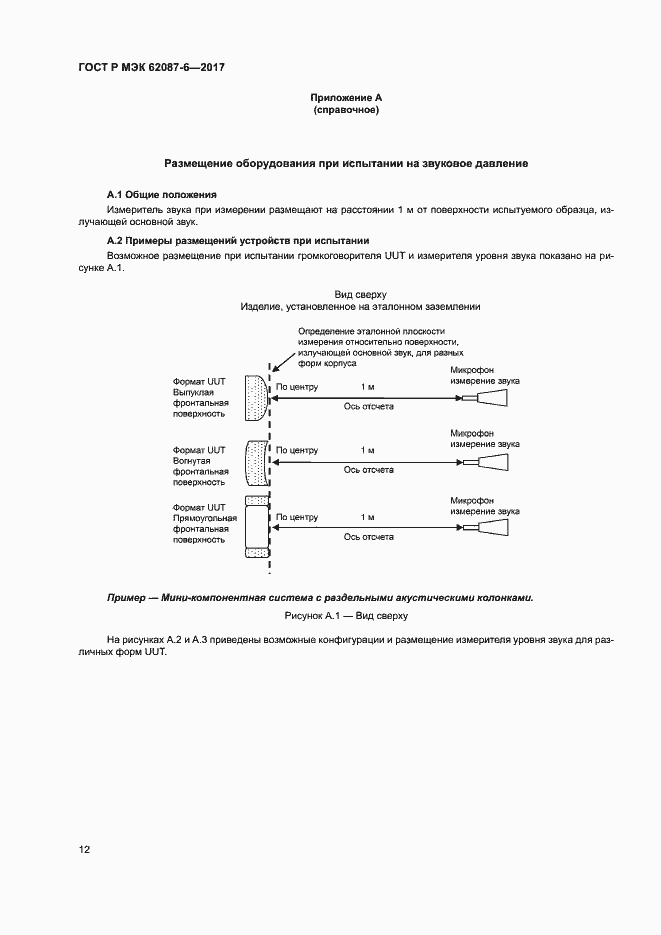
Настоящий стандарт устанавливает методы измерения потребления энергии аудиооборудованием для бытового применения.В настоящем стандарте определены различные режимы работы, пригодные для измерения энергопотребления. Настоящий стандарт распространяется только на оборудование, электропитание которого обеспечивается от внешнего источника энергии. Оборудование может включать любое количество вспомогательных батарей. Настоящий стандарт не распространяется на оборудование, включающее в себя несъемную основную батарею. Условия измерений, установленные настоящим стандартом, моделируют нормальное использование оборудования и могут отличаться от конкретных условий, например установленных в стандартах безопасности
Связи и замены
Заменяющий:
-
Описание стандарта
ГОСТ Р МЭК 62087-6-2017 Аудио-, видеоаппаратура и связанное с ней оборудование. Определение потребления энергии. Часть 6. Аудиооборудование
Страницы стандарта






















