ГОСТ IEC 61606-2-2014 Аудио- и аудиовизуальное оборудование. Компоненты цифровой аудиоаппаратуры. Основные методы измерений звуковых характеристик. Часть 2. Бытовое применение
ГОСТ МЭК
Скачать ГОСТ в PDF или DOC бесплатно
Основная информация
Обозначение:
ГОСТ IEC 61606-2-2014
Статус:
Действует
Тип:
ГОСТ МЭК
Название русское:
Аудио- и аудиовизуальное оборудование. Компоненты цифровой аудиоаппаратуры. Основные методы измерений звуковых характеристик. Часть 2. Бытовое применение
Название английское:
Audio and audiovisual equipment. Digital audio parts. Basic measurement methods of audio characteristics. Part 2. Consumer use
Даты и сроки
Дата регистрации:
12-04-14
Дата издания:
07-07-20
Дата введения в действие:
11-01-16
Дата завершения срока действия:
-
Применение и описание
Область и условия применения:
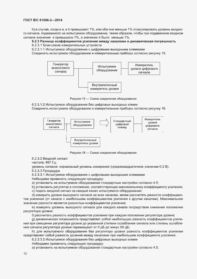
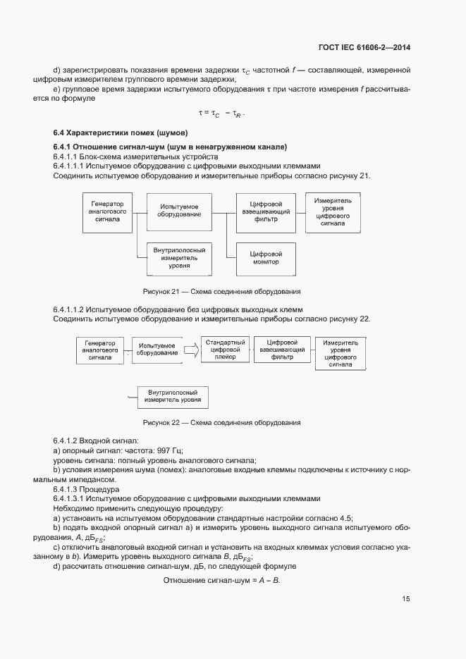
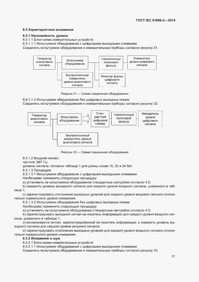
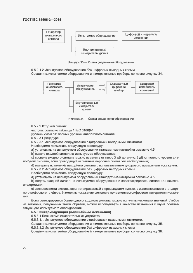
Настоящий стандарт устанавливает основные методы измерений аудио-характеристик цифрового аудио-компонента аудио- и аудио-видео оборудования для бытового использования потребителем. Общие условия и методы измерения установлены в IEC 61606-1. Настоящий стандарт устанавливает условия и методы измерений для оборудования потребителя, указанного в данном стандарте
Связи и замены
Заменяющий:
-
Описание стандарта
ГОСТ IEC 61606-2-2014 Аудио- и аудиовизуальное оборудование. Компоненты цифровой аудиоаппаратуры. Основные методы измерений звуковых характеристик. Часть 2. Бытовое применение
Страницы стандарта
































