ГОСТ Р 52595-2006 Линии соединительные цифровые для передачи телевизионных программ. Основные параметры и методы измерений
ГОСТ Р
Скачать ГОСТ в PDF или DOC бесплатно
Основная информация
Обозначение:
ГОСТ Р 52595-2006
Статус:
Действует
Тип:
ГОСТ Р
Название русское:
Линии соединительные цифровые для передачи телевизионных программ. Основные параметры и методы измерений
Название английское:
Digital links for TV program transmission. Basic parameters and methods of measuring
Даты и сроки
Дата издания:
09-14-20
Дата введения в действие:
01-01-07
Дата завершения срока действия:
-
Применение и описание
Область и условия применения:
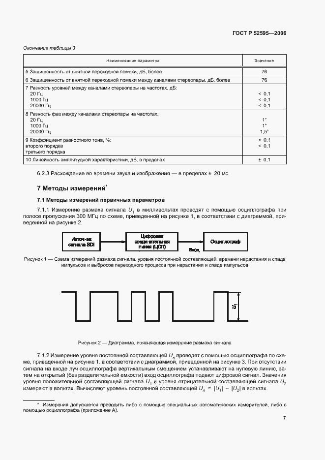
Настоящий стандарт распространяется на цифровые соединительные линии, служащие для передачи сигналов изображения и звукового сопровождения телевизионных программ без компрессии по протоколу последовательного цифрового интерфейса. Стандарт устанавливает основные параметры цифровых соединительных линий для передачи телевизионных программ и методы их измерения
Связи и замены
Заменяющий:
-
Описание стандарта
ГОСТ Р 52595-2006 Линии соединительные цифровые для передачи телевизионных программ. Основные параметры и методы измерений
Страницы стандарта















