ГОСТ Р 53556.11-2014 Звуковое вещание цифровое. Кодирование сигналов звукового вещания с сокращением избыточности для передачи по цифровым каналам связи. Часть III (MPEG-4 audio). Аудиокодирование без потерь
ГОСТ Р
Скачать ГОСТ в PDF или DOC бесплатно
Основная информация
Обозначение:
ГОСТ Р 53556.11-2014
Статус:
Действует
Тип:
ГОСТ Р
Название русское:
Звуковое вещание цифровое. Кодирование сигналов звукового вещания с сокращением избыточности для передачи по цифровым каналам связи. Часть III (MPEG-4 audio). Аудиокодирование без потерь
Название английское:
Sound broadcasting digital. Coding of signals of sound broadcasting with reduction of redundancy for transfer on digital communication channels. A part III (MPEG-4 audio). Audio lossless coding
Даты и сроки
Дата издания:
11-11-20
Дата введения в действие:
01-01-15
Дата завершения срока действия:
-
Применение и описание
Область и условия применения:
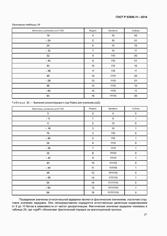
Этот стандарт описывает алгоритм кодирования аудиосигналов без потерь: аудиокодирование без потерь MPEG-4 (ALS). MPEG-4 ALS являются схемой сжатия данных цифрового аудио без потерь, то есть декодируемые данные являются разрядно-идентичной реконструкцией исходных входных данных. Входные сигналы могут быть целочисленными данными PCM от 8 до 32-разрядной длины слова или 32-разрядными данными IEEE с плавающей точкой. MPEG-4 ALS обеспечивает широкий диапазон гибкости с точки зрения компромисса сжатия - сложности, поскольку комбинация нескольких инструментов позволяет определить уровень компрессии с различными степенями сложности
Связи и замены
Заменяющий:
-
Описание стандарта
ГОСТ Р 53556.11-2014 Звуковое вещание цифровое. Кодирование сигналов звукового вещания с сокращением избыточности для передачи по цифровым каналам связи. Часть III (MPEG-4 audio). Аудиокодирование без потерь
Страницы стандарта




































































