ГОСТ Р 54715-2011 Телевидение вещательное цифровое. Планирование наземных сетей цифрового телевизионного вещания. Технические основы
ГОСТ Р
Скачать ГОСТ в PDF или DOC бесплатно
Основная информация
Обозначение:
ГОСТ Р 54715-2011
Статус:
Действует
Тип:
ГОСТ Р
Название русское:
Телевидение вещательное цифровое. Планирование наземных сетей цифрового телевизионного вещания. Технические основы
Название английское:
Degital television broadcasting. Planning of digital television broadcasting terrestrial networks. Technical basis
Даты и сроки
Дата издания:
08-11-20
Дата введения в действие:
07-01-13
Дата завершения срока действия:
-
Применение и описание
Область и условия применения:
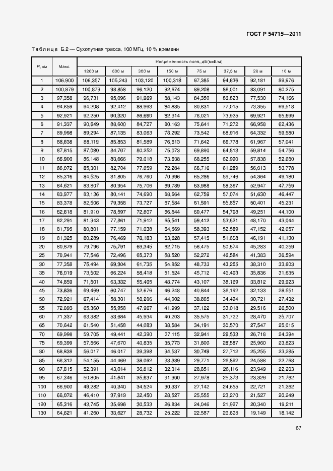
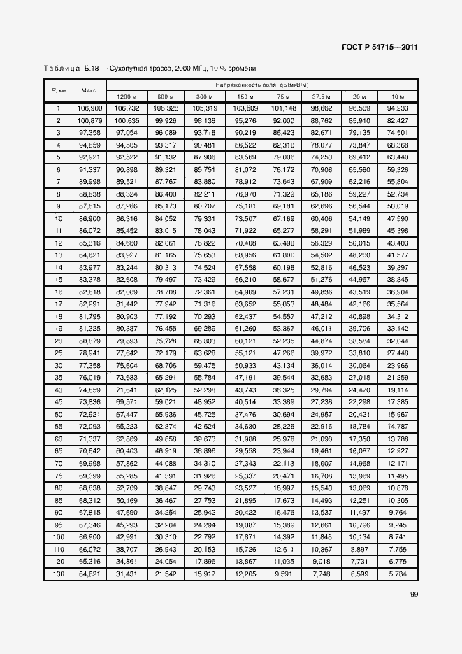
Настоящий стандарт распространяется на наземные сети эфирного цифрового телевизионного вещания и устанавливает: - технические основы планирования наземных сетей эфирного цифрового телевизионного вещания; - принципы построения наземных сетей эфирного цифрового телевизионного вещания; - методы и критерии планирования наземных сетей телевизионного вещания в стандарте приема на переносное оборудование DVB-H с учетом мобильного приема. Настоящий стандарт применим при проектировании и построении наземных сетей эфирного цифрового телевизионного вещания
Связи и замены
Заменяющий:
-
Описание стандарта
ГОСТ Р 54715-2011 Телевидение вещательное цифровое. Планирование наземных сетей цифрового телевизионного вещания. Технические основы
Страницы стандарта




















































































































