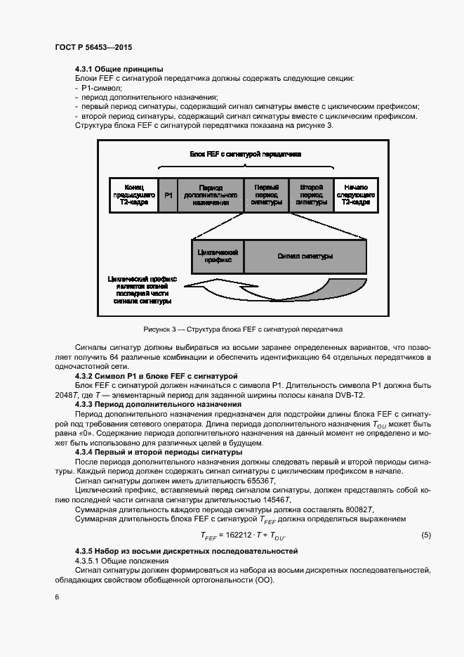
ГОСТ Р 56453-2015 Телевидение вещательное цифровое. Структура и модуляция опциональных сигнатур передатчиков (Т2-TX-SIG) системы цифрового телевизионного вещания второго поколения (DVB-T2). Основные параметры
ГОСТ Р
Скачать ГОСТ в PDF или DOC бесплатно
Основная информация
Обозначение:
ГОСТ Р 56453-2015
Статус:
Действует
Тип:
ГОСТ Р
Название русское:
Телевидение вещательное цифровое. Структура и модуляция опциональных сигнатур передатчиков (Т2-TX-SIG) системы цифрового телевизионного вещания второго поколения (DVB-T2). Основные параметры
Название английское:
Digital video broadcasting. Structure and modulation of optional transmitter signatures (T2-TX-SIG) for a second generation digital terrestrial television broadcasting system (DVB-T2). Basic parameters
Даты и сроки
Дата издания:
04-06-20
Дата введения в действие:
09-01-15
Дата завершения срока действия:
-
Применение и описание
Область и условия применения:
Настоящий стандарт распространяется опциональные сигнатуры передатчиков (T2-TX-SIG) для системы цифрового телевизионного вещания второго поколения (DVB-T2). Стандарт устанавливает основные параметры опциональных сигнатур передатчиков (T2-TX-SIG) при их работе преимущественно в составе одночастотных сетей DVB-T2 для целей оперативного обслуживания, мониторинга и поиска неисправностей в данных сетях. Требования настоящего стандарта следует учитывать при разработке, изготовлении и эксплуатации оборудования DVB-T2
Связи и замены
Заменяющий:
-
Описание стандарта
ГОСТ Р 56453-2015 Телевидение вещательное цифровое. Структура и модуляция опциональных сигнатур передатчиков (Т2-TX-SIG) системы цифрового телевизионного вещания второго поколения (DVB-T2). Основные параметры
Страницы стандарта













