ГОСТ Р 56457-2015 Телевидение вещательное цифровое. Интегрированный приемник-декодер системы спутникового цифрового телевизионного вещания второго поколения (DVB-S2). Методы измерений
ГОСТ Р
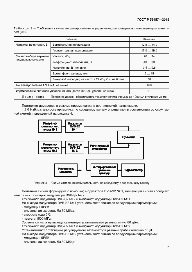
Скачать ГОСТ в PDF или DOC бесплатно
Основная информация
Обозначение:
ГОСТ Р 56457-2015
Статус:
Действует
Тип:
ГОСТ Р
Название русское:
Телевидение вещательное цифровое. Интегрированный приемник-декодер системы спутникового цифрового телевизионного вещания второго поколения (DVB-S2). Методы измерений
Название английское:
Digital video broadcasting. Integrated receiver decoder of a second generation digital satellite television broadcasting system (DVB-T2). Test metods
Даты и сроки
Дата издания:
04-28-20
Дата введения в действие:
09-01-15
Дата завершения срока действия:
-
Применение и описание
Область и условия применения:
Настоящий стандарт распространяется на интегрированные приемники-декодеры системы спутникового цифрового телевидения DVB-S2, предназначенные для профессионального приема, демодуляции и декодирования сигнала DVB-S2. Стандарт устанавливает методы измерений основных параметров интегрированных приемников-декодеров. Требования настоящего стандарта следует учитывать при разработке, изготовлении и эксплуатации интегрированных приемников-декодеров
Связи и замены
Заменяющий:
-
Описание стандарта
ГОСТ Р 56457-2015 Телевидение вещательное цифровое. Интегрированный приемник-декодер системы спутникового цифрового телевизионного вещания второго поколения (DVB-S2). Методы измерений
Страницы стандарта














