ГОСТ Р 53556.12-2014 Звуковое вещание цифровое. Кодирование сигналов звукового вещания с сокращением избыточности для передачи по цифровым каналам связи. Часть III (MPEG-4 audio). Масштабируемое кодирование без потерь
ГОСТ Р
Скачать ГОСТ в PDF или DOC бесплатно
Основная информация
Обозначение:
ГОСТ Р 53556.12-2014
Статус:
Действует
Тип:
ГОСТ Р
Название русское:
Звуковое вещание цифровое. Кодирование сигналов звукового вещания с сокращением избыточности для передачи по цифровым каналам связи. Часть III (MPEG-4 audio). Масштабируемое кодирование без потерь
Название английское:
Sound broadcasting digital. Coding of signals of sound broadcasting with reduction of redundancy for transfer on digital communication audiochannels. A part III (MPEG-4 audio). Scalable lossless coding
Даты и сроки
Дата издания:
09-03-14
Дата введения в действие:
01-01-15
Дата завершения срока действия:
-
Применение и описание
Область и условия применения:
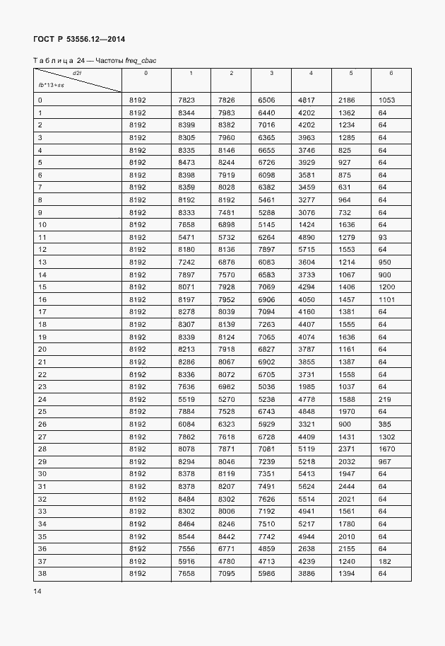
Данный стандарт описывает алгоритм масштабируемого кодирования без потерь MPEG-4 для аудиосигналов
Связи и замены
Заменяющий:
-
Описание стандарта
ГОСТ Р 53556.12-2014 Звуковое вещание цифровое. Кодирование сигналов звукового вещания с сокращением избыточности для передачи по цифровым каналам связи. Часть III (MPEG-4 audio). Масштабируемое кодирование без потерь
Страницы стандарта

































































