ГОСТ Р 55696-2013 Телевидение вещательное цифровое. Передающее оборудование для цифрового наземного телевизионного вещания DVB-T/T2. Технические требования. Основные параметры. Методы измерений
ГОСТ Р
Скачать ГОСТ в PDF или DOC бесплатно
Основная информация
Обозначение:
ГОСТ Р 55696-2013
Статус:
Действует
Тип:
ГОСТ Р
Название русское:
Телевидение вещательное цифровое. Передающее оборудование для цифрового наземного телевизионного вещания DVB-T/T2. Технические требования. Основные параметры. Методы измерений
Название английское:
Digital video broadcasting. Transmission equipment for digital terrestrial television broadcasting DVB-T/T2. Technical requirements. General parameters. Measurement methods
Даты и сроки
Дата издания:
04-06-20
Дата введения в действие:
09-01-14
Дата завершения срока действия:
-
Применение и описание
Область и условия применения:
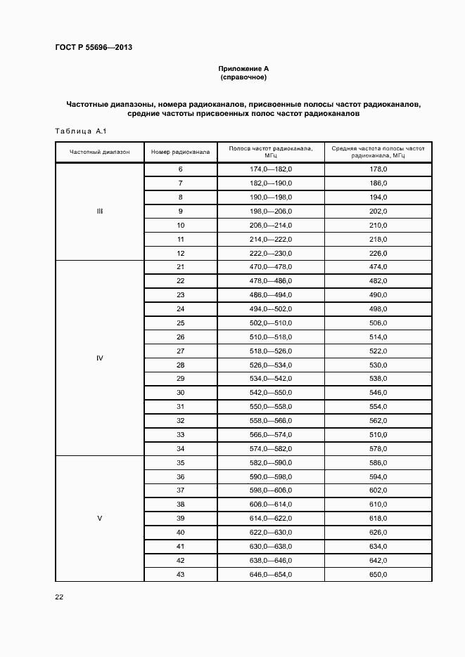
Настоящий стандарт распространяется на передающее оборудование системы наземного цифрового телевизионного вещания DVB-T [1], DVB-T2 [2], использующее III, IV, V частотные диапазоны по ГОСТ 7845
Связи и замены
Заменяющий:
-
Описание стандарта
ГОСТ Р 55696-2013 Телевидение вещательное цифровое. Передающее оборудование для цифрового наземного телевизионного вещания DVB-T/T2. Технические требования. Основные параметры. Методы измерений
Страницы стандарта





























