ГОСТ Р 55713-2013 Телевидение вещательное цифровое. Кодирование для защиты от ошибок при передаче служб DVB по сетям с IP протоколами. Основные параметры
ГОСТ Р
Скачать ГОСТ в PDF или DOC бесплатно
Основная информация
Обозначение:
ГОСТ Р 55713-2013
Статус:
Действует
Тип:
ГОСТ Р
Название русское:
Телевидение вещательное цифровое. Кодирование для защиты от ошибок при передаче служб DVB по сетям с IP протоколами. Основные параметры
Название английское:
Digital video broadcasting. Error protection coding for transport of DVB services over IP based networks. Basic parameters
Даты и сроки
Дата издания:
04-06-20
Дата введения в действие:
09-01-14
Дата завершения срока действия:
-
Применение и описание
Область и условия применения:
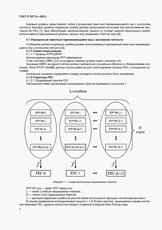
Настоящий стандарт распространяется на кодирование для защиты от ошибок при передаче служб DVB по сетям с IP протоколами. Настоящий стандарт устанавливает основные параметры протоколов защиты от ошибок базового и дополнительного уровней. Требования настоящего стандарта следует учитывать при разработке, изготовлении и эксплуатации оборудования передачи и прием служб DVB по сетям c IP протоколами
Связи и замены
Заменяющий:
-
Описание стандарта
ГОСТ Р 55713-2013 Телевидение вещательное цифровое. Кодирование для защиты от ошибок при передаче служб DVB по сетям с IP протоколами. Основные параметры
Страницы стандарта











