ГОСТ Р 55715-2013 Телевидение вещательное цифровое. Оборудование цифровой вставки (сплайсинга) региональных программ в транспортный поток MPEG-2 вещательного телевидения. Основные параметры
ГОСТ Р
Скачать ГОСТ в PDF или DOC бесплатно
Основная информация
Обозначение:
ГОСТ Р 55715-2013
Статус:
Действует
Тип:
ГОСТ Р
Название русское:
Телевидение вещательное цифровое. Оборудование цифровой вставки (сплайсинга) региональных программ в транспортный поток MPEG-2 вещательного телевидения. Основные параметры
Название английское:
Digital video broadcasting (DVB). Splicing equipment of regional programs in the transport stream of MPEG-2 broadcast television. Basic parameters
Даты и сроки
Дата издания:
07-15-20
Дата введения в действие:
09-01-14
Дата завершения срока действия:
-
Применение и описание
Область и условия применения:
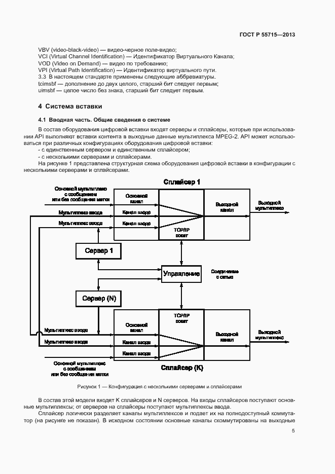
Настоящий стандарт распространяется на оборудование цифровой вставки (сплайсинга) программ в транспортные потоки MPEG-2 вещательного телевидения. Настоящий стандарт устанавливает основные параметры оборудования цифровой вставки региональных программ в транспортные потоки MPEG-2, размещаемого на головных станциях (центрах) формирования программ вещания
Связи и замены
Заменяющий:
-
Описание стандарта
ГОСТ Р 55715-2013 Телевидение вещательное цифровое. Оборудование цифровой вставки (сплайсинга) региональных программ в транспортный поток MPEG-2 вещательного телевидения. Основные параметры
Страницы стандарта








































