ГОСТ Р 53534-2009 Цифровое телевидение высокой четкости. Измерительные сигналы. Методы измерений. Общие требования
ГОСТ Р
Скачать ГОСТ в PDF или DOC бесплатно
Основная информация
Обозначение:
ГОСТ Р 53534-2009
Статус:
Действует
Тип:
ГОСТ Р
Название русское:
Цифровое телевидение высокой четкости. Измерительные сигналы. Методы измерений. Общие требования
Название английское:
Digital hifh- definition television. Measuring signals. Methods of measuremtnt. General requirements
Даты и сроки
Дата издания:
09-30-20
Дата введения в действие:
12-01-10
Дата завершения срока действия:
-
Применение и описание
Область и условия применения:
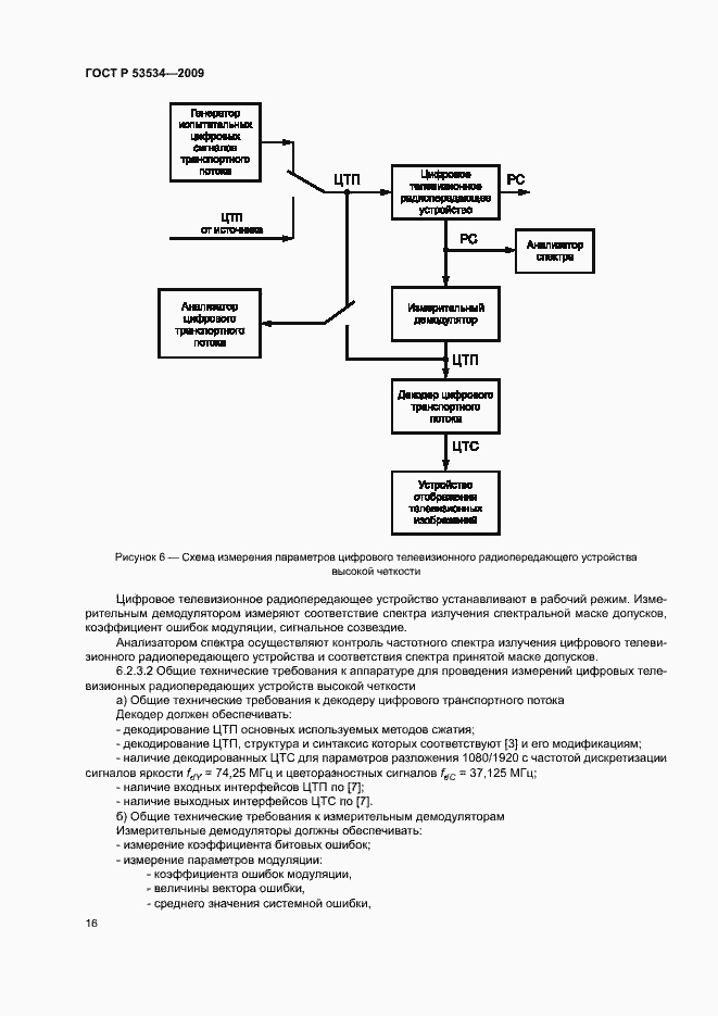
Настоящий стандарт распространяется на тракт передачи сигналов цифрового вещательного и прикладного телевидения высокой четкости с параметрами разложения 1250/50/2:1 в соответствии со стандартом "Цифровое телевидение высокой четкости. Основные параметры цифровых систем телевидения высокой четкости. Общие требования" и устанавливает: - границы звеньев тракта передачи сигналов цифрового телевидения высокой четкости; - измерительные сигналы и их элементы для контроля основных показателей качества тракта передачи сигналов цифрового телевидения высокой четкости; - основные требования к измерительным сигналам; общие требования к методам измерений параметров цифровой системы телевидения высокой четкости и ее звеньев; - общие требования к средствам измерений. Стандарт предназначен для использования при проведении измерений основных параметров цифровой системы телевидения высокой четкости и ее звеньев
Связи и замены
Заменяющий:
-
Описание стандарта
ГОСТ Р 53534-2009 Цифровое телевидение высокой четкости. Измерительные сигналы. Методы измерений. Общие требования
Страницы стандарта



























