ГОСТ Р 56948-2016 Телевидение вещательное цифровое. Алгоритмы скремблирования контента служб DVB-IPTV, использующих транспортные потоки MPEG2. Основные параметры
ГОСТ Р
Скачать ГОСТ в PDF или DOC бесплатно
Основная информация
Обозначение:
ГОСТ Р 56948-2016
Статус:
Действует
Тип:
ГОСТ Р
Название русское:
Телевидение вещательное цифровое. Алгоритмы скремблирования контента служб DVB-IPTV, использующих транспортные потоки MPEG2. Основные параметры
Название английское:
Digital Video Broadcasting. Content Scrambling Algorithms for DVB-IPTV Services using MPEG2 Transport Streams. General parameters
Даты и сроки
Дата издания:
06-17-20
Дата введения в действие:
06-01-17
Дата завершения срока действия:
-
Применение и описание
Область и условия применения:
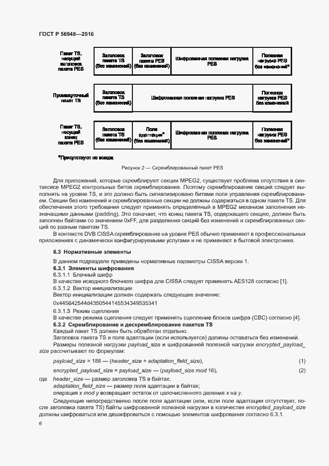
Настоящий стандарт определяет спецификации скремблирования контента распространяемых в сетях DVB-IPTV услуг реального времени и услуг доставки контента по запросу на базе транспортного потока MPEG2. Также данный стандарт определяет требования к сигнализации, которая позволяет обеспечивать системам условного доступа и системам цифрового управления правами защиту своего контента при использовании методов скремблирования, описанных ниже. Требования настоящего стандарта следует учитывать при разработке, изготовлении и эксплуатации оборудования DVB-IPTV
Связи и замены
Заменяющий:
-
Описание стандарта
ГОСТ Р 56948-2016 Телевидение вещательное цифровое. Алгоритмы скремблирования контента служб DVB-IPTV, использующих транспортные потоки MPEG2. Основные параметры
Страницы стандарта


















