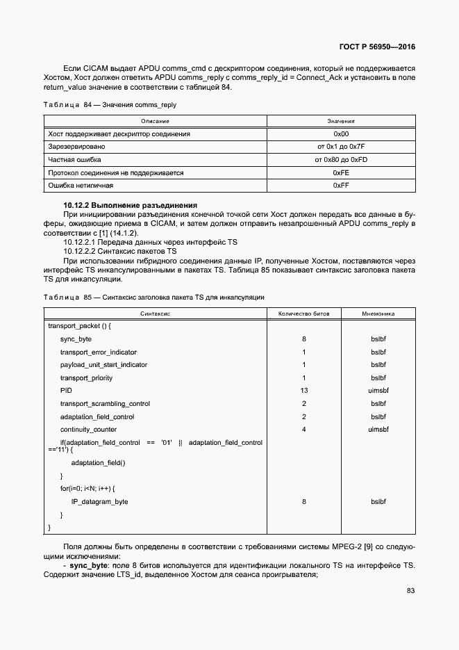
ГОСТ Р 56950-2016 Телевидение вещательное цифровое. Расширенная спецификация общего интерфейса в системах ограничения доступа CI Plus™. Основные параметры
ГОСТ Р
Скачать ГОСТ в PDF или DOC бесплатно
Основная информация
Обозначение:
ГОСТ Р 56950-2016
Статус:
Действует
Тип:
ГОСТ Р
Название русское:
Телевидение вещательное цифровое. Расширенная спецификация общего интерфейса в системах ограничения доступа CI Plus™. Основные параметры
Название английское:
Digital Video Broadcasting. Extensions to the CI PlusTM Specification. Basic parameters
Даты и сроки
Дата издания:
07-12-16
Дата введения в действие:
06-01-17
Дата завершения срока действия:
-
Применение и описание
Область и условия применения:
Настоящий стандарт содержит расширенные характеристики общего интерфейса в системах ограничения доступа CI Plus™, определенного в [1]. Стандарт распространяется на оборудование защиты информации, передаваемой по каналам вещания и по каналам Интернет протокола (Internet Protocol; IP)
Связи и замены
Заменяющий:
-
Описание стандарта
ГОСТ Р 56950-2016 Телевидение вещательное цифровое. Расширенная спецификация общего интерфейса в системах ограничения доступа CI Plus™. Основные параметры
Страницы стандарта


































































































































