ГОСТ Р 51107-97 Системы стереофонического радиовещания. Основные параметры. Методы измерений
ГОСТ Р
Скачать ГОСТ в PDF или DOC бесплатно
Основная информация
Обозначение:
ГОСТ Р 51107-97
Статус:
Действует
Тип:
ГОСТ Р
Название русское:
Системы стереофонического радиовещания. Основные параметры. Методы измерений
Название английское:
Stereophonic broadcasting systems. Main parameters. Methods of measurements
Даты и сроки
Дата издания:
11-24-20
Дата введения в действие:
07-01-98
Дата завершения срока действия:
-
Применение и описание
Область и условия применения:
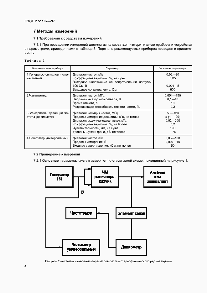
Настоящий стандарт распространяется на системы стереофонического радиовещания с полярной модуляцией для диапазона частот 65,9-74 МГц и с пилот-тоном для диапазона частот 100-108 МГц. Стандарт определяет структуру комплексного стереофонического сигнала для систем с полярной модуляцией и с пилот-тоном и устанавливает основные параметры систем стереофонического радиовещания и методы измерения параметров модуляции УКВ ЧМ передатчиков комплексным стереофоническим сигналом
Связи и замены
Заменяющий:
-
Описание стандарта
ГОСТ Р 51107-97 Системы стереофонического радиовещания. Основные параметры. Методы измерений
Страницы стандарта










