ГОСТ Р 59808-2021 Телевидение вещательное цифровое. Технические требования к системе обновления программного обеспечения в системах цифрового телевизионного вещания
ГОСТ Р
Скачать ГОСТ в PDF или DOC бесплатно
Основная информация
Обозначение:
ГОСТ Р 59808-2021
Статус:
Действует
Тип:
ГОСТ Р
Название русское:
Телевидение вещательное цифровое. Технические требования к системе обновления программного обеспечения в системах цифрового телевизионного вещания
Название английское:
Digital video broadcasting. Specification for system software update in DVB systems
Даты и сроки
Дата издания:
11-22-21
Дата введения в действие:
06-01-22
Дата завершения срока действия:
-
Применение и описание
Область и условия применения:
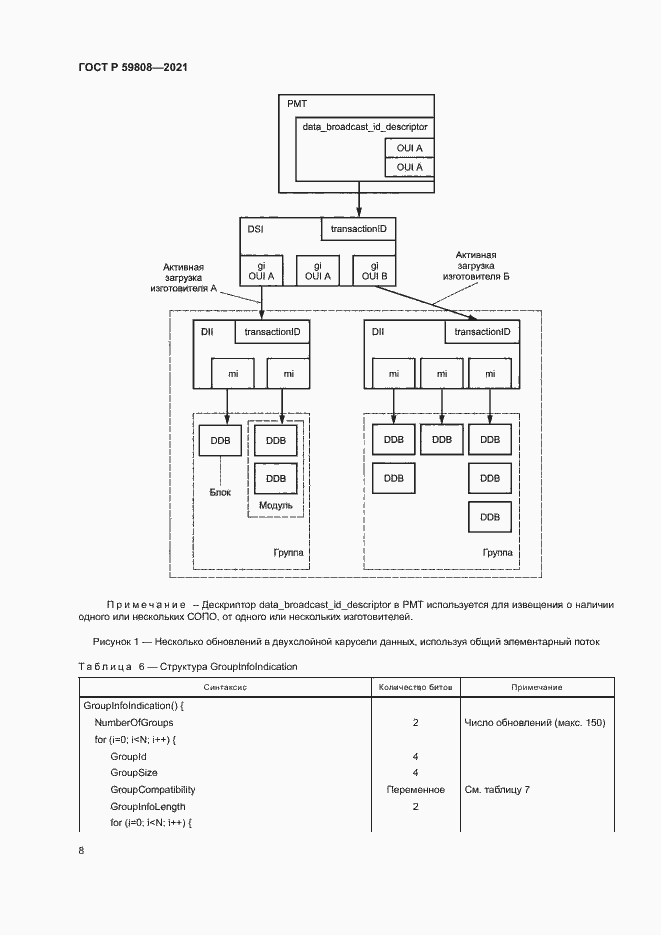
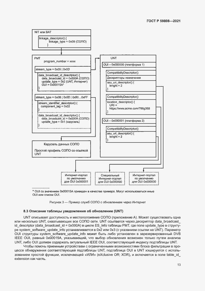
Настоящий стандарт определяет унифицированный механизм сигнализации о службе системы обновления программного обеспечения (СОПО) приемников цифрового телевизионного вещания (DVB) и способ передачи данных для такой службы, профили и типы служб СОПО приемников DVB, требования к взаимодействию операторов, предоставляющих услуги обновления программного обеспечения (ПО) приемников DVB и требования к взаимодействию приемников DVB с сетью оператора. Требования настоящего стандарта следует учитывать при разработке, изготовлении и эксплуатации приемных устройств DVB, а также при разработке, проектировании и эксплуатации ПО сетей DVB
Связи и замены
Заменяющий:
-
Описание стандарта
ГОСТ Р 59808-2021 Телевидение вещательное цифровое. Технические требования к системе обновления программного обеспечения в системах цифрового телевизионного вещания
Страницы стандарта


































